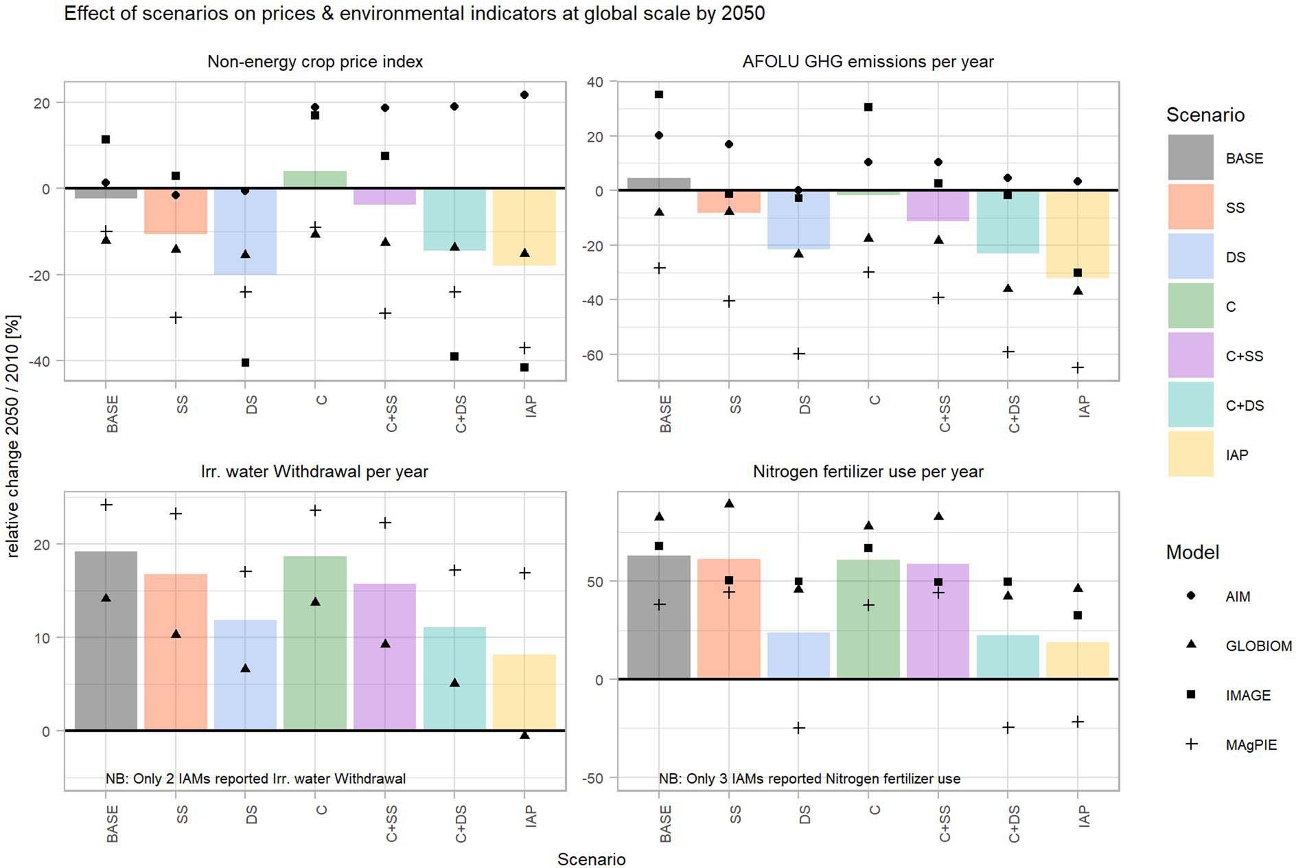
Extended Data Fig. 8: Global relative changes in the price index of non-energy crops, total greenhouse gas emissions from agriculture, forestry and other land uses, total irrigation water withdrawal and nitrogen fertilizer use between 2010 and 2050.
From: Bending the curve of terrestrial biodiversity needs an integrated strategy

Top left, global changes in the price index of non-energy crops. Top right, global changes in total greenhouse gas emissions from agriculture, forestry and other land uses. AFOLU, agriculture, forestry and other land uses. Bottom left, global changes in total irrigation water withdrawal. Irrigation water withdrawal was reported by only two IAMs (MAgPIE and GLOBIOM); values were not reported for the other two IAMs. Bottom right, global changes in nitrogen fertilizer use. Nitrogen fertilizer use was reported by only three IAMs (MAgPIE, GLOBIOM and IMAGE); values were not reported for AIM. Data are shown for the seven scenarios and four IAMs. Averages across IAMs are shown as bars, individual IAMs are shown as symbols.