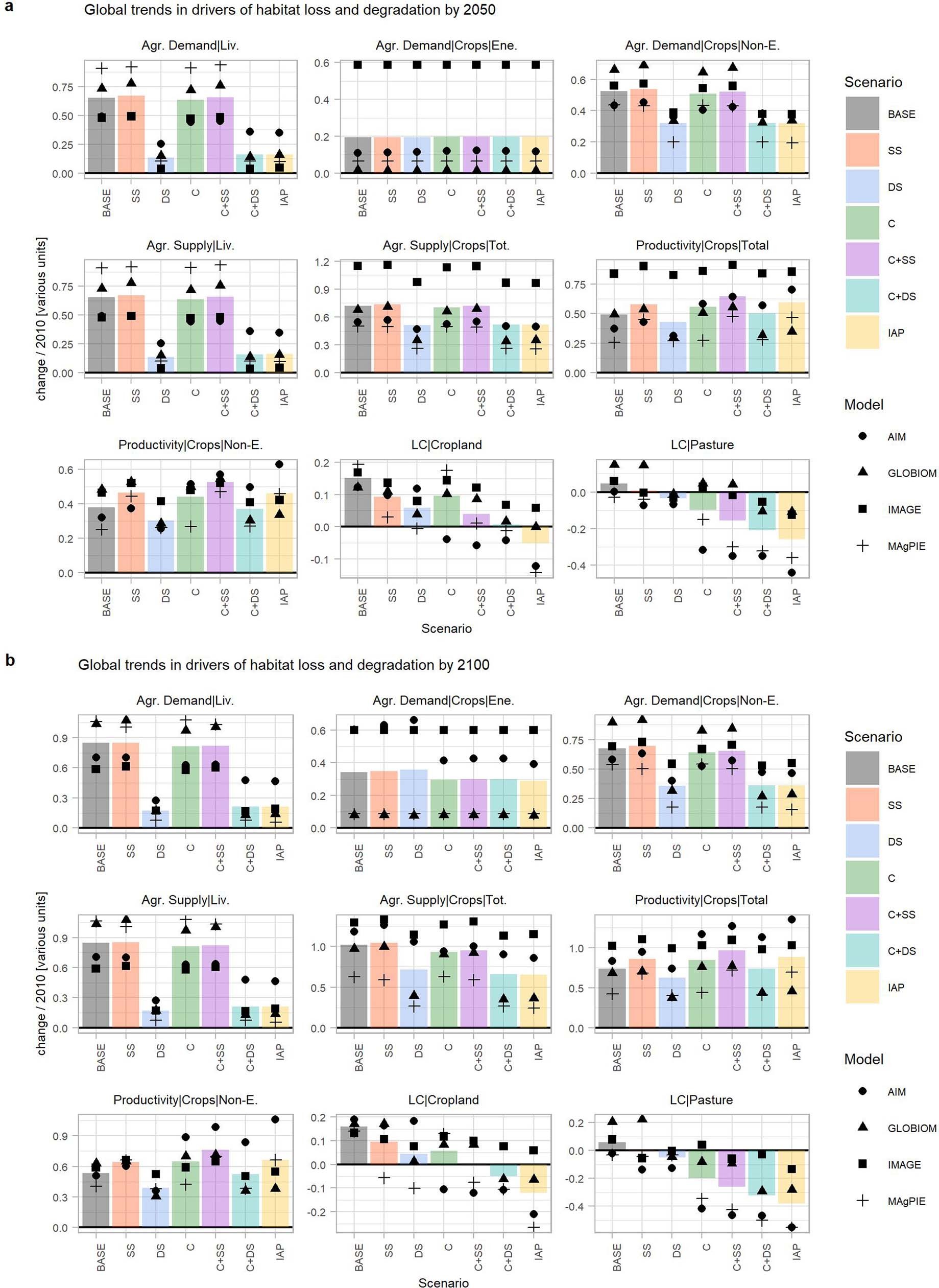
Extended Data Fig. 3: Projected future global trends in drivers of habitat loss and degradation.
From: Bending the curve of terrestrial biodiversity needs an integrated strategy

a, b, For each scenario (colours, mean across all four IAMs), the relative change from 2010 to 2050 (a) and 2100 (b) in nine variables are shown. The symbols indicate the IAM-specific values. The variables displayed from the top left to bottom right are: agricultural demand for livestock products (Agr. Demand|Liv.), agricultural demand for short-rotation bioenergy crops (Agr. Demand|Crops|Ene.), agricultural demand for crops other than short-rotation bioenergy crops (Agr. Demand|Crops|Non-E.), agricultural supply of livestock products (Agr. Supply|Liv.), agricultural supply of all crop products (Agr. Supply|Crops|Tot.), average yield of crops other than short-rotation bioenergy crops (in metric tonnes dry matter per hectare, Productivity|Crops|Non-E.), and the land dedicated to cropland (LC|Cropland) and pasture (LC|Pasture). Values displayed for each variable are change relative to the value of the same variable simulated for 2010, except for two variables (Agr. Demand|Crops|Ene. and Agr. Demand|Crops|Non-E.), for which the change in each of the variables is normalized to the sum of values simulated in 2010 for the two variables (that is, normalization to the total demand for crops).