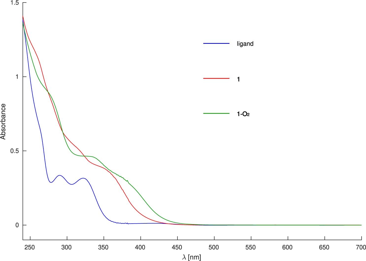
Extended Data Fig. 10: UV–vis spectra related to the Berkessel–Katsuki catalyst.
From: Efficient epoxidation over dinuclear sites in titanium silicalite-1

UV–vis spectra of the Berkessel ligand (blue), the Berkessel–Katsuki catalyst 1 (red) and the corresponding peroxo species 1-O2 (green) are shown. The spectra were acquired in dichloromethane solution, with concentrations of 0.049 mmol l−1, 0.022 mmol l−1 and 0.022 mmol l−1, respectively.