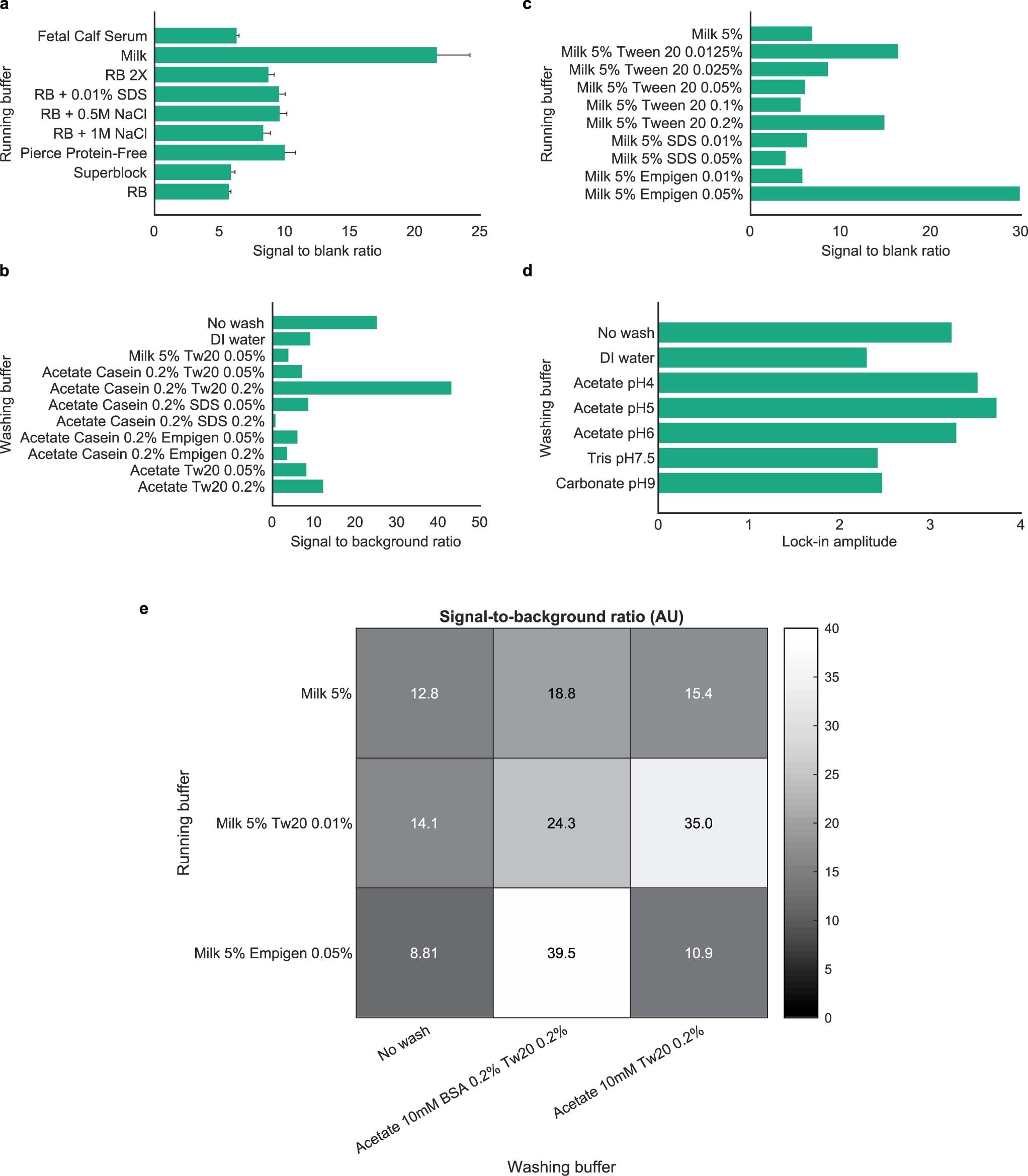
Extended Data Fig. 6: Assay optimization by buffer selection.
From: Spin-enhanced nanodiamond biosensing for ultrasensitive diagnostics

Sensitivity is limited by the non-specific binding of FNDs at the LFA test line. LFA strip blocking, running buffer and washing step are, therefore, key factors in improving LOD. In this section 120 nm FNDs were used for optimization. a, Signal-to-background comparison for the FNDs in different running buffers. There is no wash step. Error bars show s.d. (n = 3 measurement replicates). Milk was selected as the basis for the running buffer. b, Subsequently, a sweep of different surfactants was performed (n = 1 measurement replicate). The best signal-to-background ratio came from adding 0.05 vol% Empigen, showing a significant increase in the signal-to-background. There is no wash step. c–e, The best running buffer was then used for a washing buffer pH sweep (n = 1 measurement replicate) (c). All washing buffers were run at a volume of 75 μl, chosen because preliminary experiments showed it to be a good compromise between assay time and washing success. Although results were similar, pH 5 gave the best signal-to-background ratio, so acetate buffer at 10 mM pH 5 was used as the basis for a second washing buffer sweep, shown in (d), testing a number of detergents and adding casein at 0.2 wt% as a blocking protein (n = 1 measurement replicate). As a final test, the three best running buffers were tested, each with the three best washing conditions, displayed as a grid in (e). Each square is the average of three measurements (n = 3 measurement replicates). The results were consistent with previous sweeps, the combination of the best running buffer and best washing buffer giving the best signal-to-background. Milk and protein percentages are by weight and detergent percentages are by volume.