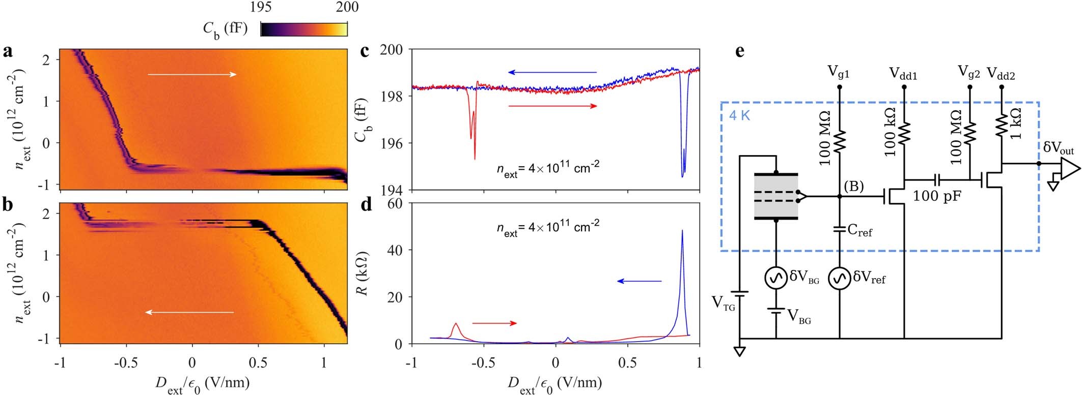
Extended Data Fig. 7: Hysteresis signature in the bulk electronic compressibility of device H2.
From: Unconventional ferroelectricity in moiré heterostructures

a, b, Bottom capacitance Cb between the bottom gate and BLG as a function of the externally applied field, Dext as the fast-scan axis, and gate-defined carrier density, next as the slow-scan axis. The white arrows indicate the sweep direction of Dext in each panel. Deviations of the capacitance from the geometric value reflect modulations in the electronic compressibility, ∂n/∂μ, from the total area of BLG overlapping the bottom gate. Data were collected by sweeping the displacement field at each fixed carrier density, as in Fig. 2h, i. Dark features indicate regions of incompressibility resulting from the opening of a gap in the BLG. The gapless point, a compressible state with high Cb, is achieved at a finite Dext that depends on the sweep direction. c, Forward and backward traces from a and b at a fixed next. d, Resistance traces at the same density showing resistance peaks corresponding to the incompressible features in c. e, Circuit schematic of the bottom gate capacitance measurement, including a two-stage cryogenic amplifier (enclosed in dashed box). Capacitance is measured by applying a small a.c. excitation voltage to the bottom gate, δVBG, while also applying a nearly 180° out-of-phase signal, δVref, to a reference capacitor, Cref to null the voltage at the bridge balance point, (B). Deviations in the balanced signal caused by variations in compressibility are amplified by two high electron-mobility transistors and measured at the drain of the second stage, δVout. Carrier density next and external field Dext are controlled by top- and bottom-gate d.c. voltages VTG and VBG, in the same way as in the transport measurements.