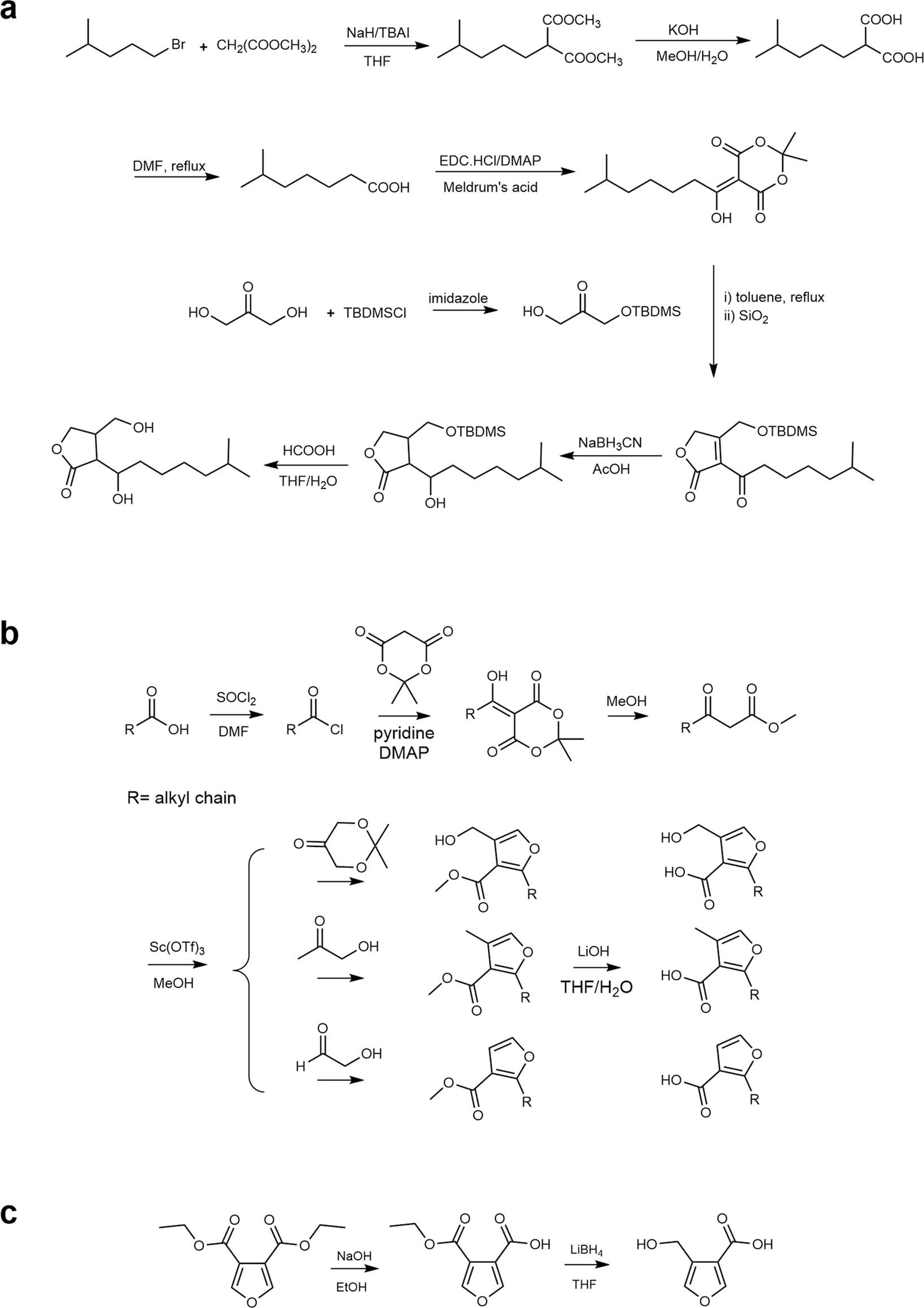
Extended Data Fig. 5: Synthetic routes to MMFs and analogues and SCB1.
From: Molecular basis for control of antibiotic production by a bacterial hormone

a, Synthetic route to SCB1. b, General synthetic route to MMFs and most analogues. c, Synthetic route for MMF analogue 1 lacking a 2-alkyl group.