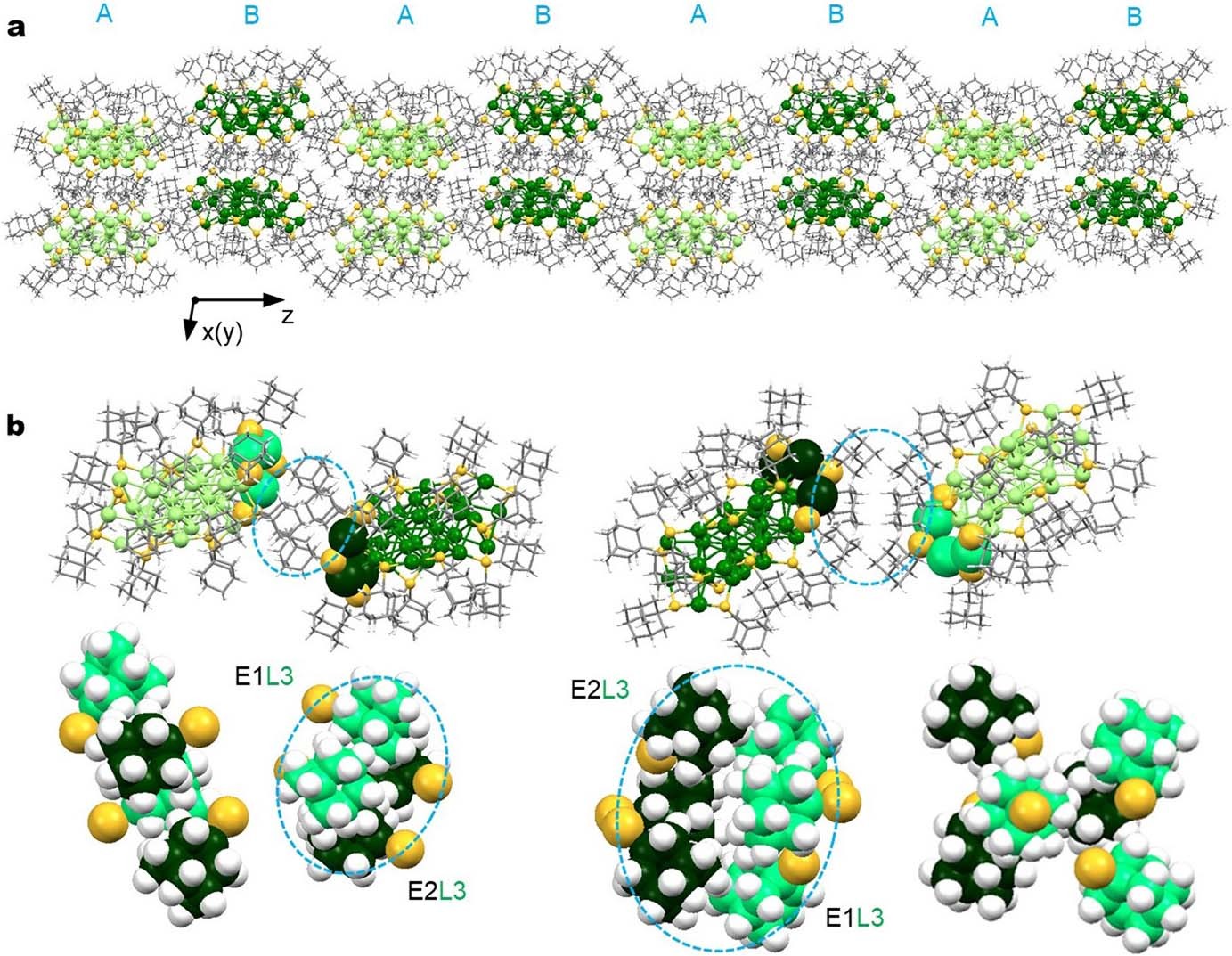
Extended Data Fig. 4: Supercrystal of Au30(SAdm)18 nanoclusters.
From: Double-helical assembly of heterodimeric nanoclusters into supercrystals

a, Self-assembly of Au30(SAdm)18 nanoclusters in the superlattice. b, The neighbouring enantiomers approach each other by matching their L3 staple motifs, with doubly paired and triply paired ligand interactions between the two enantiomers.