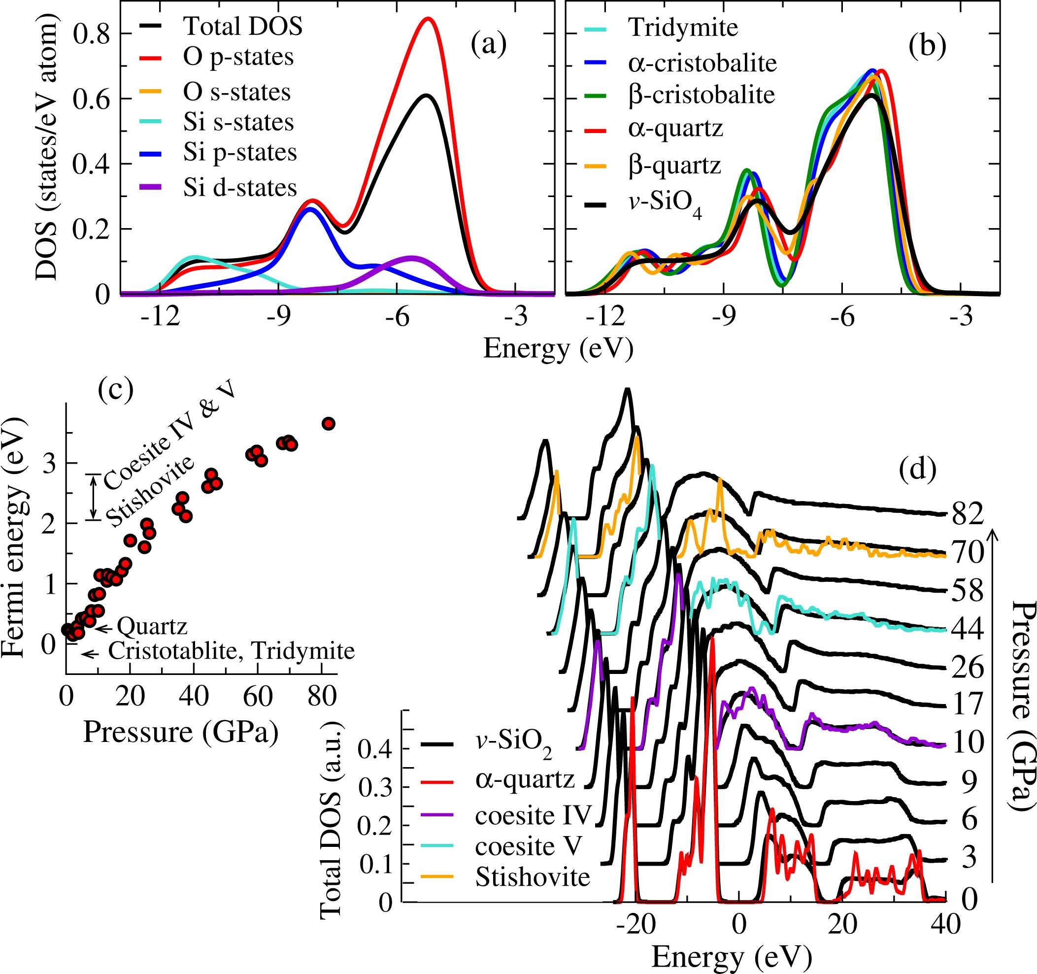
Extended Data Fig. 1: Electronic structure of compressed v-SiO2.

Total DOS for a SiO2 glass at ambient pressure, with its corresponding projected DOS (a) and compared to different SiO4 crystalline polymorphs (b). Fermi energy (c) and total DOS (d) when the pressure increases. The results are compared with those corresponding to different SiO2 crystalline polymorphs.