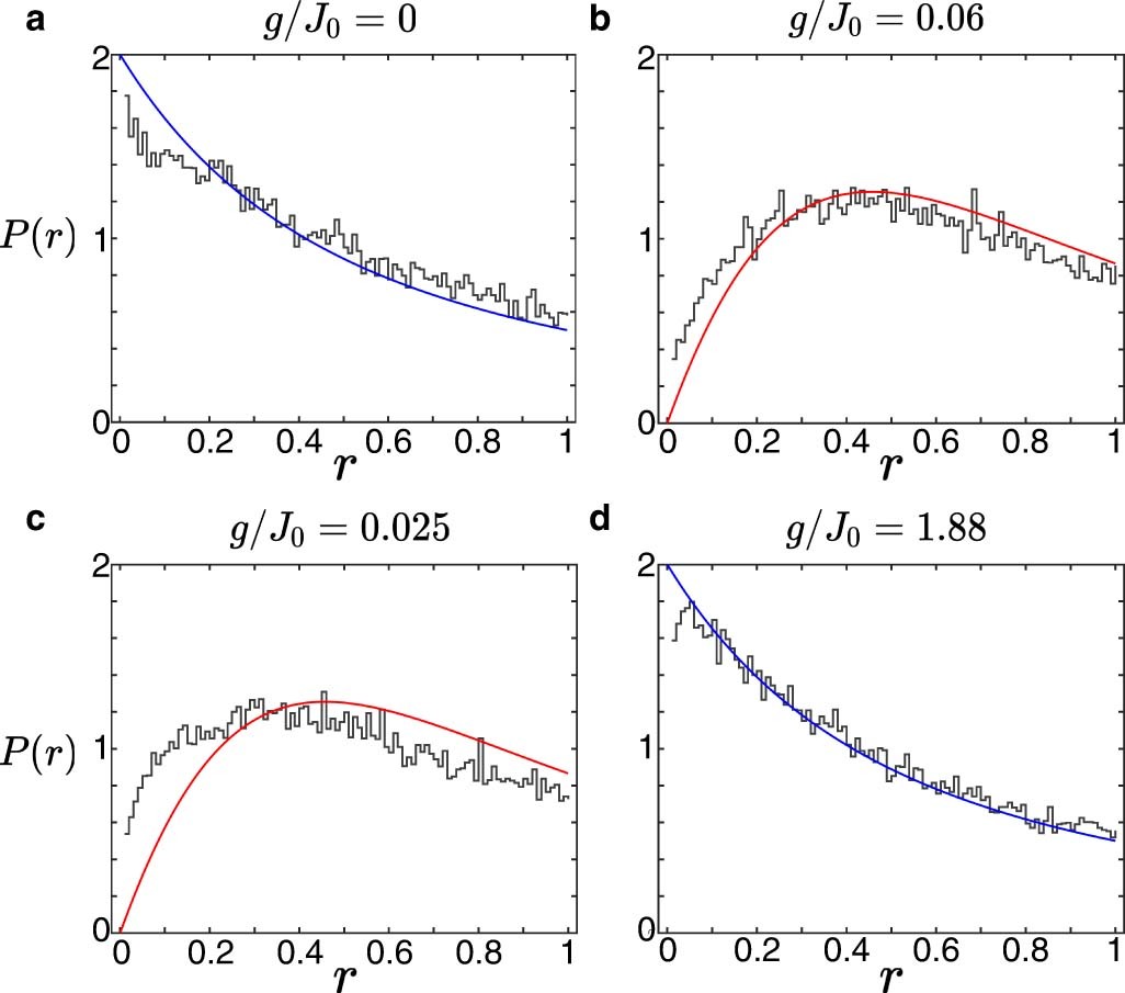
Extended Data Fig. 3: Histograms of r.
From: Observation of Stark many-body localization without disorder

Probability density distributions of r, the ratio of adjacent energy level spacings, for the experimental Hamiltonian (equation (1) of the main text) at various values of g/J0 and N = 15. Numerics are compared with the distribution expected for either a Poisson level distribution (blue lines in a and d) or a Wigner–Dyson distribution (red lines in b, c). The level statistics in the absence of a field gradient are near the Poissonian limit, which may reflect the proximity to an integrable limit for the low-energy sector68. A small gradient results in statistics near the Wigner–Dyson limit, followed by an approach to Poisson statistics as the gradient is increased.