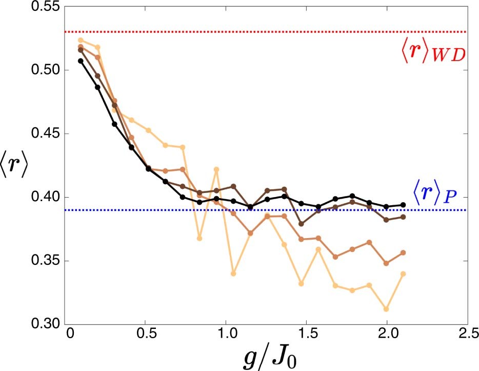
Extended Data Fig. 5: Dependence of ⟨r⟩ on system size.
From: Observation of Stark many-body localization without disorder

Level statistics for N = {9, 11, 13, 15} (light to dark), for α = 1.3 and Bz0/J0 = 5 and for the power-law Hamiltonian (equation (30)).