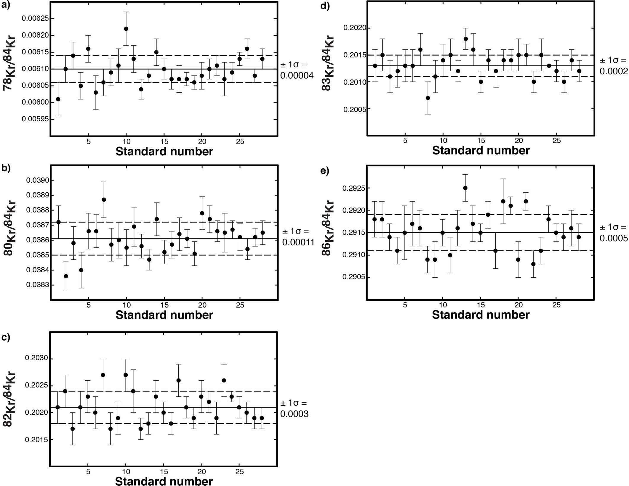
Extended Data Fig. 4: Reproducibility of the air standard for krypton isotopic ratios.
From: Deep-mantle krypton reveals Earth’s early accretion of carbonaceous matter

a, 78Kr/84Kr. b, 80Kr/84Kr. c, 82Kr/84Kr. d, 83Kr/84Kr. e, 86Kr/84Kr. This set of standards was measured over 13 days and include three sizes of air standard, ranging from 7.52 × 10−12 cc to 2.37 × 10−11 cc of 84Kr. For the samples, only one size of the air standard was used (84Kr of 2.37 × 10−11 cc), measurements of this air standard size show an even better reproducibility (typically of 2‰ for 78Kr/84Kr, of 2.5‰ for 80Kr/84Kr, of 1‰ for 82Kr/84Kr, of 1.5‰ for 83Kr/84Kr and of 1‰ for 86Kr/84Kr).