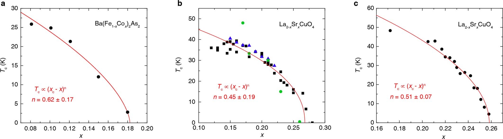
Extended Data Fig. 7: Tc versus x plots for different unconventional superconductors.
From: Scaling of the strange-metal scattering in unconventional superconductors

Symbols are data extracted from literature and solid curves are fits with the formula Tc ∝ (xc - x)n, with n being a fitting parameter. a, Data for Ba(Fe1–xCox)2As2 extracted from ref. 10. b, Data for La2–xSrxCuO4 (black squares: ref. 17; green dots: ref. 7; blue triangles: ref. 42). c, Data for La2–xSrxCuO4 extracted from the ρ(T) curves of ref. 20. The exponent n for different materials fall in the range of 0.4–0.6. For Ba(Fe1–xCox)2As2, the data is scarce and the fitting uncertainty is relatively large. La2–xSrxCuO4 is one of the most intensively studied hole-doped copper oxide, thus there are more data in literature. However, data from different studies (panel b) are quite scattered thus the fit is poor. In panel c, the data are extracted from a relatively comprehensive study of La2–xSrxCuO4 (ref. 20), which is in a relatively good fit to the formula Tc ∝ (xc - x)n with n = 0.51 ± 0.07, consistent with the value reported in this work, and the uncertainty is smaller compared to the other two panels.