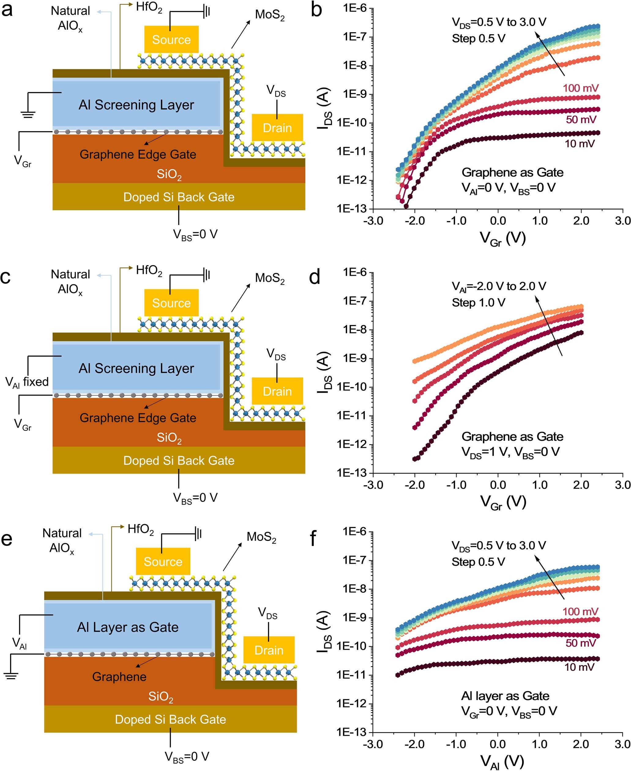
Extended Data Fig. 6: The detailed tunability of the Al screening layer.

(a) The basic 0.34 nm graphene side-wall edge gated MoS2 transistor and signal input, the Al screening layer is connected to ground. (b) The IDS-VGr characteristics at VBS = 0 V and VAl = 0 V. The VDS varies from 10 mV to 3.0 V. (c) The 0.34 nm graphene side-wall edge gated MoS2 transistor and signal input, the Al screening layer is fixed at different bias. (d) The IDS-VGr characteristics at VDS = 0 V and VAl = 0 V. The VAl varies from –2.0 V to 2.0 V with 0.5 V step. (e) The Al side-wall gated MoS2 transistor and signal input, the graphene layer is connected to ground. (f) The IDS-VAl characteristics at VBS = 0 V and VGr = 0 V. The VDS varies from 10 mV to 3.0 V.