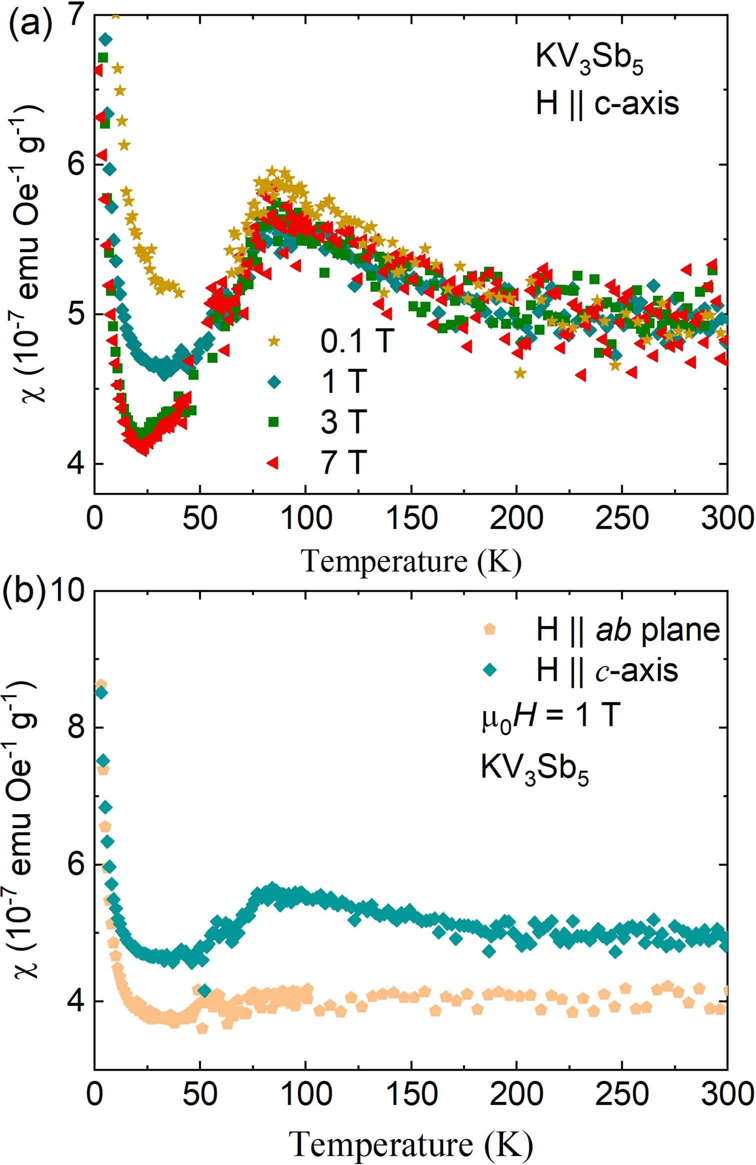
Extended Data Fig. 3: Anisotropic magnetic response across charge order temperature in the single crystalline sample of KV3Sb5.
From: Time-reversal symmetry-breaking charge order in a kagome superconductor

(a) The temperature dependence of magnetic susceptibility for KV3Sb5 measured at various magnetic fields applied parallel to the c-axis. (b) The temperature dependence of magnetic susceptibility for KV3Sb5 measured in the field of 1 T, applied both parallel to the kagome plane and parallel to the c-axis.