Extended Data Fig. 5: Pitch and radius of bacterial helical trajectories.
From: The colloidal nature of complex fluids enhances bacterial motility

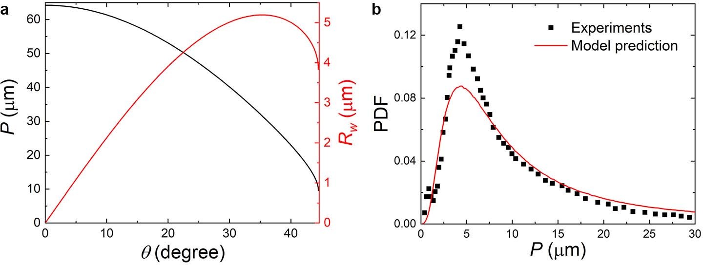
a, The pitch P and the radius Rw of bacterial helical trajectories as a function of the wobble angle θ. See the definition of P and Rw in Extended Data Fig. 4a. P is shown to the left axis and Rw is shown to the right axis. The limiting pitch of 64 μm can be reached in our model. In comparison, the limiting pitch predicted by the previous minimal model of bacterial wobbling is 4 μm for bacteria with single flagellar bundle24. b, Probability distribution function (PDF) of the pitch of bacterial helical trajectories. Black squares are experimental data extracted from Fig. 2a of ref. 24. The red solid line is our model prediction.