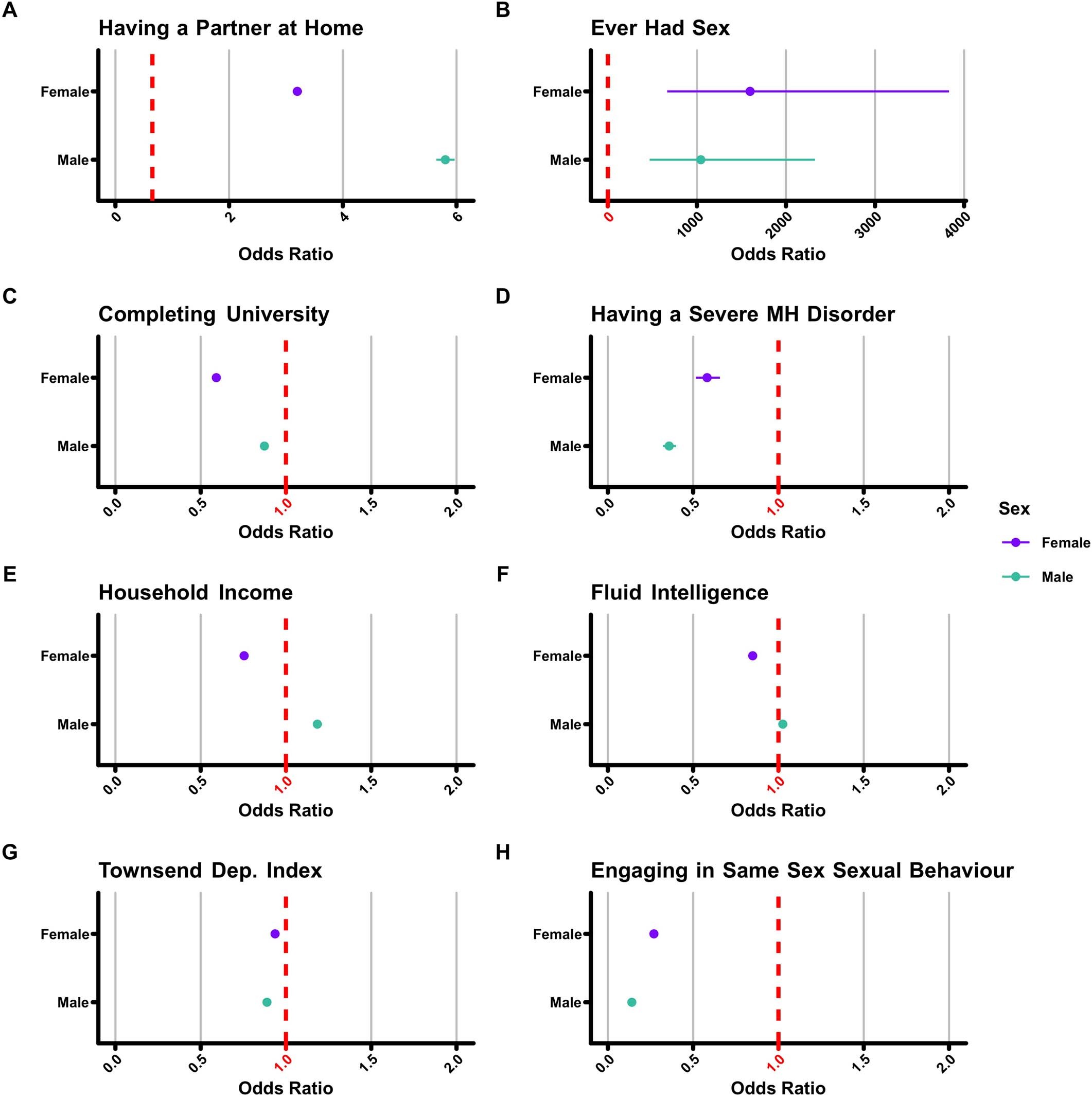
Extended Data Fig. 6: Association of eight relevant phenotypes/demographic measures with the likelihood of having children among UK Biobank participants.
From: Reduced reproductive success is associated with selective constraint on human genes

Shown are the results of a logistic regression estimating the odds ratio for the relationship of (A) having a partner at home, (B) ever having had sex (C) completing university, (D) having a severe mental health disorder, (E) household income, (F) fluid intelligence, (G) Townsend deprivation index, and (H) engaging in same sex sexual behaviour with likelihood of having children, separated into females (violet) and males (jade). 95% confidence intervals for all plots are included, but may be invisible at the resolution of the figure. Please note that the scales of the x-axis for plots (A) and (B) are different from plots (C-H) due to the relatively stronger association of these traits with having children.