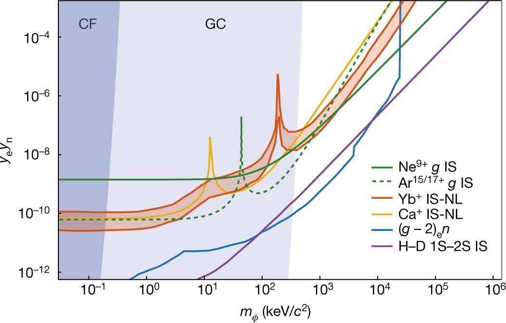
Fig. 3: New physics exclusion plot.
From: Measurement of the bound-electron g-factor difference in coupled ions

Bounds at the 95% confidence level on the NP coupling constant (Methods) as a function of the mass of a new scalar boson. Other shown limits are derived from Casimir force (CF) measurements33, globular cluster (GC) data34, isotopic-shift measurements in Ca+ (ref. 35) and in H–D (ref. 36), and a combination of neutron-scattering data with the free-electron g factor ((g − 2)en (ref. 29)). The orange region indicates possible values of the coupling constant derived from isotopic-shift measurements in transition frequencies in Yb+ (ref. 37), under the assumption that the observed King nonlinearity is caused by NP (see also refs. 38,39). The solid green line shows the limits derived in this work. The dashed green line shows a projected bound from isotopic-shift measurements of the g factor of hydrogen-like and lithium-like argon.