Extended Data Fig. 2: Analysis of the optimization procedure.
From: Anti-reflection structure for perfect transmission through complex media

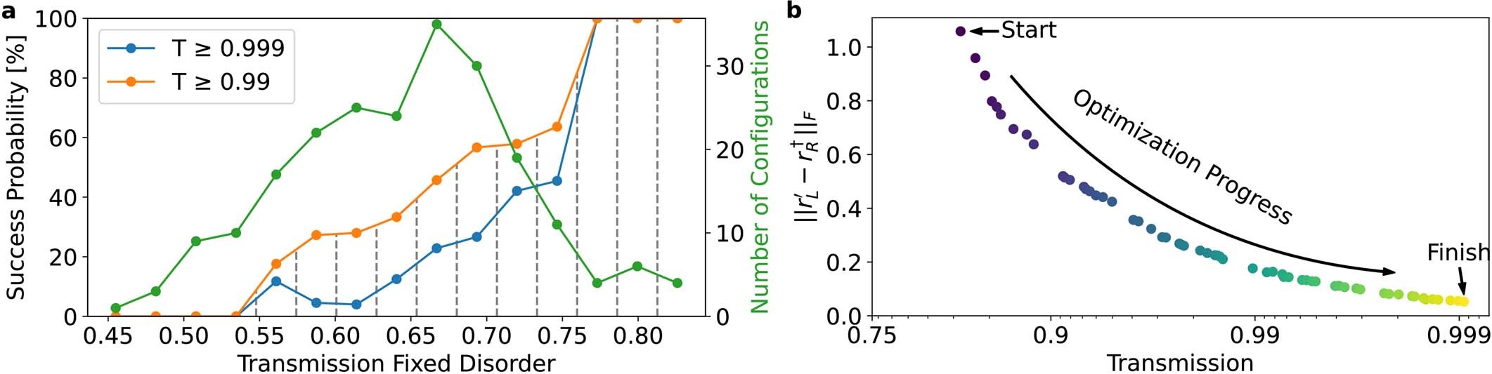
a, Probability of successfully designing a fully transmitting medium as a function of the fixed disorders transmission. Success is defined as a transmission \(T\,\ge 0.999\) (blue line) or \(T\,\ge 0.99\) (orange line). Note that we are using binned data here with the bin edges indicated by the grey dashed lines. The number of inverse design processes in each bin is given by the green line. The total number of configurations is 220. b, Plot of the critical coupling condition’s Frobenius norm, \(||{r}_{L}^{{\prime} }-{r}_{R}^{\dagger }|{|}_{F}\), versus the total transmission for each step of the optimization process. The progress in the inverse design is marked by the colourmap transition from dark blue to bright yellow.