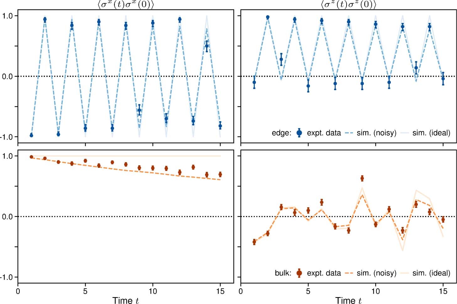
Extended Data Fig. 8: Ideal FSPT implementation (short times).
From: Dynamical topological phase realized in a trapped-ion quantum simulator

FSPT model simulation (noiseless: pale solid lines, noisy: dashed lines) and experimental data (solid points with error bars) at the ideal J = π “fixed-point”. At these short times t ≤ 15, coherent errors have not yet affected the topological edge qubits. The edge shows the expected period-two oscillations, whereas bulk qubits show slowly decaying, weakly-open MBL behaviour along the symmetry axis ∼σx, and rapidly dephase due to random fields and qubit-qubit interactions perpendicular to the symmetry axis, ∼σz.