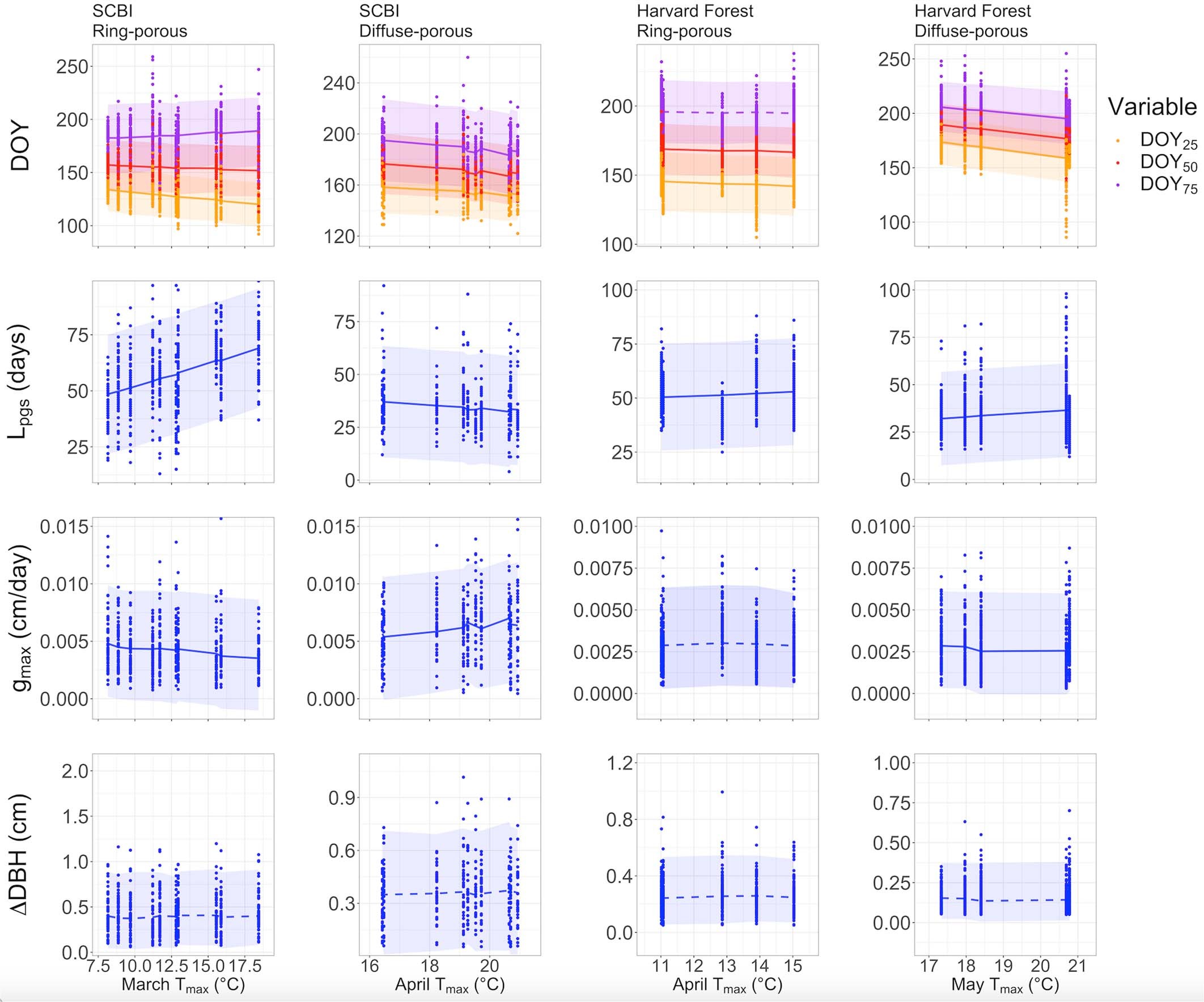
Extended Data Fig. 4: Response of stem growth timing and rates to mean maximum temperatures (Tmax) for the month most closely corresponding to the spring critial temperature window (CTW) for ring- and diffuse-porous species at the Smithsonian Conservation Biology Institute (SCBI) and Harvard Forest.
From: Warm springs alter timing but not total growth of temperate deciduous trees

CTW was defined as the period over which Tmax was most strongly correlated with the day of year on which 25% of annual growth was achieved (DOY25; Extended Data Table 2, Extended Data Fig. 2), and the most closely corresponding month was determined as that with the greatest number of days within the CTW. Shown are relationships between monthly Tmax and days of the year on which 25%, 50%, and 75% total stem growth were achieved (DOY25, DOY50, DOY75, respectively; first row); the length of the peak growing season (Lpgs; second row); maximum growth rate (gmax; third row); and total seasonal radial stem growth (∆DBH; fourth row). Posterior predictions of each variable that did not include zero are represented with solid lines, while those that do include zero use dotted lines. The 95% credible intervals are represented by bands centered on the posterior mean for each year. For both species groups at both sites, DOY25, DOY50, and DOY75 declined significantly with April Tmax, with the exception of DOY25 for ring-porous species at SCBI. Dots represent growth parameter values for individual tree-year combinations, which were derived by fitting a five-parameter logistic growth model to dendrometer band data.