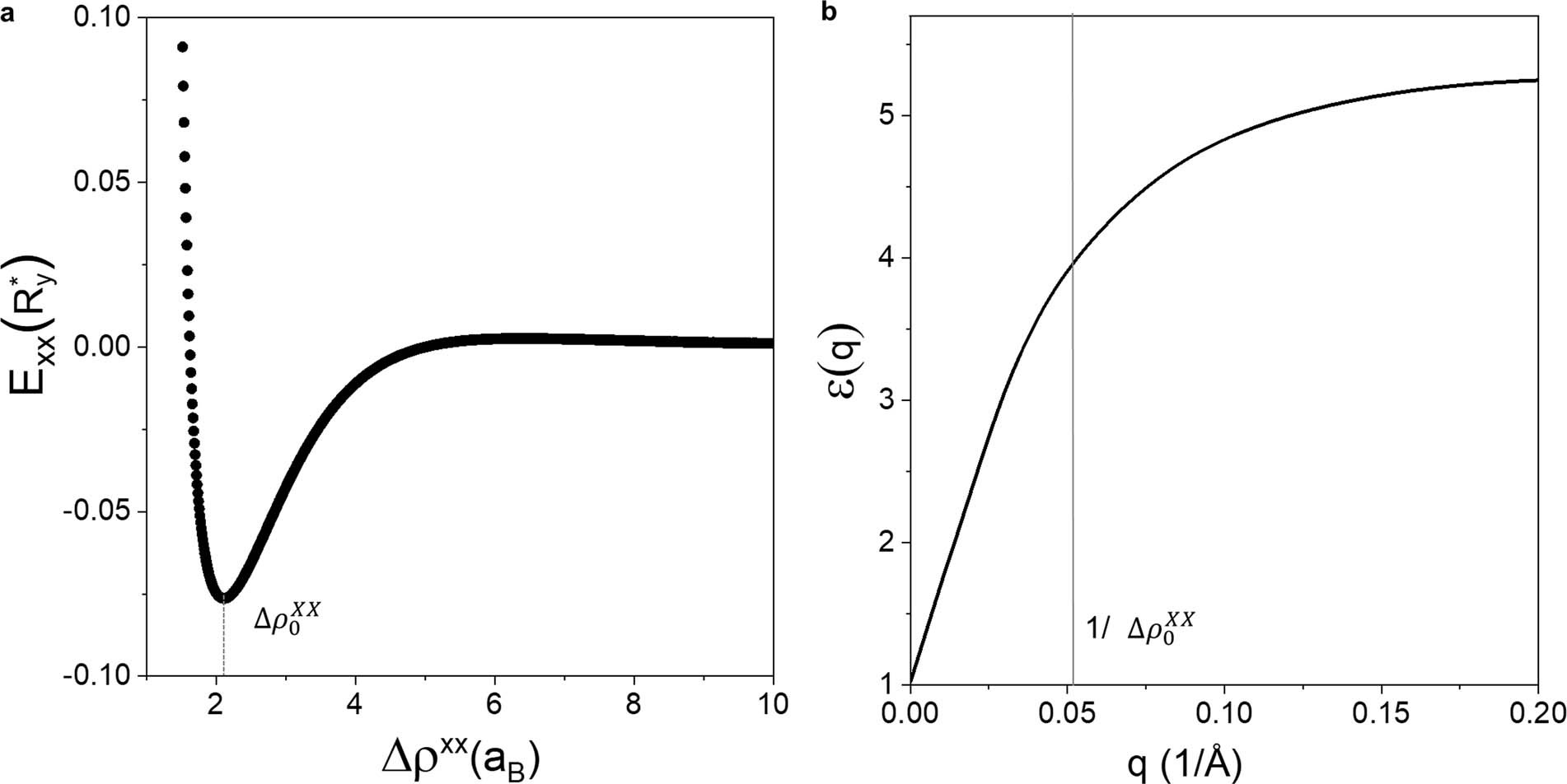
Extended Data Fig. 7: Calculation of interaction energy and dielectric function.
From: Enhanced interactions of interlayer excitons in free-standing heterobilayers

a, Calculated interaction energy of two IXs \({E}_{{XX}}\) (in unit of Rydberg energy \({R}_{y}^{* }\)) as a function of interlayer exciton distance \(\triangle {\rho }^{{XX}}\) (in unit of Bohr radius \({a}_{B}\)). \({E}_{{XX}}\) shows a minimum energy at \({\triangle \rho }_{0}^{{XX}}\). b, Zoom in plot of calculated dielectric function \(\varepsilon \left(q\right)\) for free-standing WSe2/WS2, as shown in Supplementary Fig. 10(a). The solid vertical line is \(q=1/{\triangle \rho }_{0}^{{XX}}\).