Extended Data Fig. 12: Simulation model.
From: Context-specific emergence and growth of the SARS-CoV-2 Delta variant

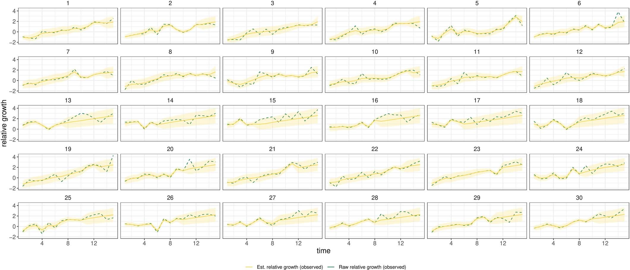
Simulation comparing known vs estimated relative growth rates (see Methods) for hypothetical locations.
From: Context-specific emergence and growth of the SARS-CoV-2 Delta variant

Simulation comparing known vs estimated relative growth rates (see Methods) for hypothetical locations.