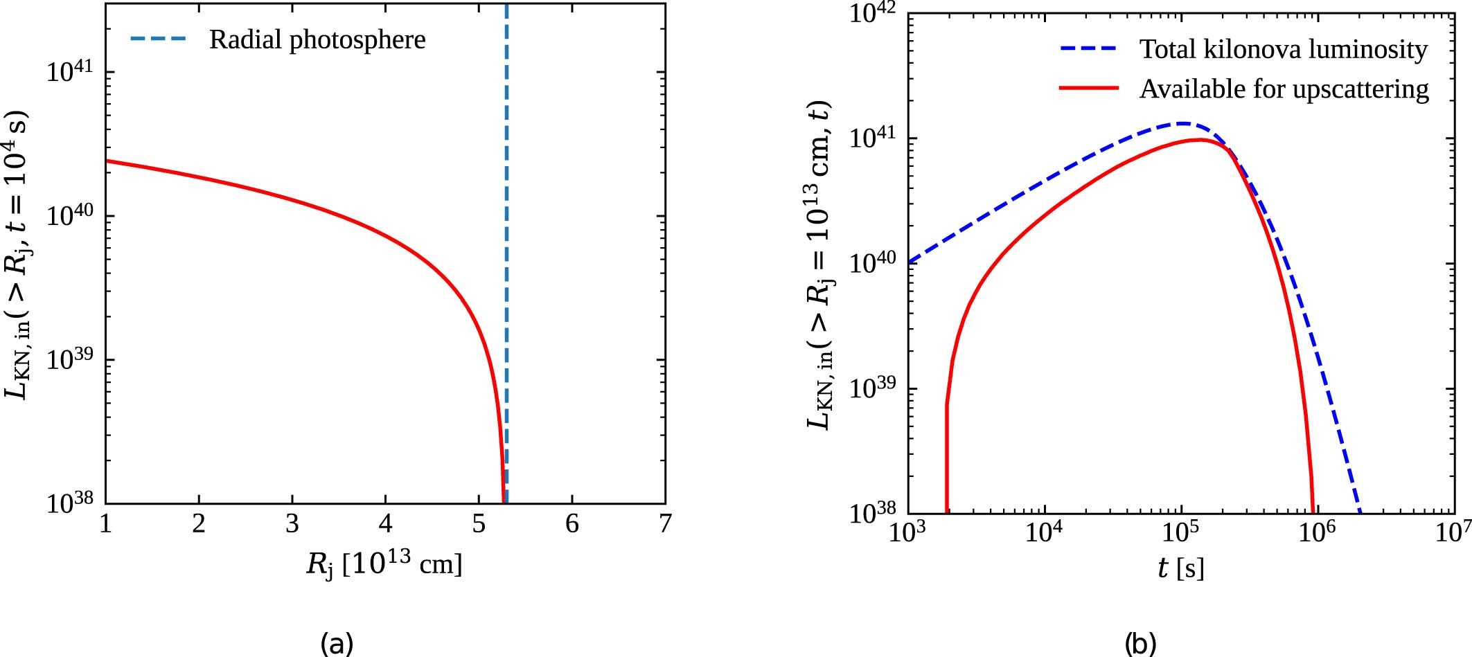
Extended Data Fig. 4: Details on the kilonova photon transverse diffusion.
From: Gigaelectronvolt emission from a compact binary merger

a, Kilonova luminosity that can diffuse from the jet-kilonova ‘walls’ above the jet dissipation region, located at Rj, at post-merger time t = 104 s. b, Kilonova luminosity available for up-scattering within the jet dissipation region (red solid line), compared to the total kilonova luminosity (blue dashed line), assuming Rj = 1013 cm.