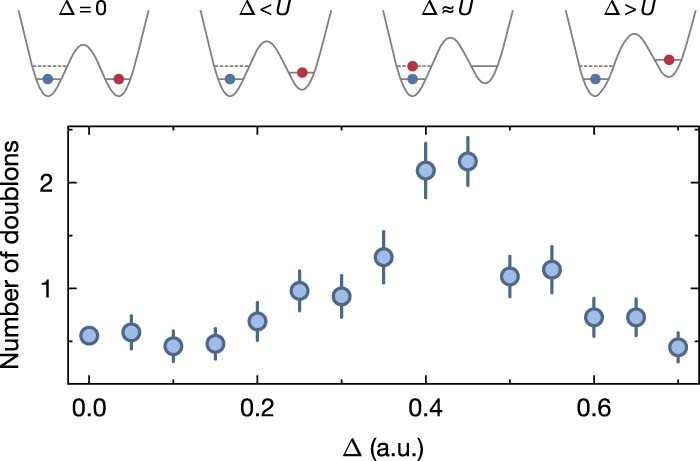
Extended Data Fig. 2: Calibration of the optical potential offset.
From: Magnetically mediated hole pairing in fermionic ladders of ultracold atoms

The experimental sequence is run for different value of Δ in a regime close to unit occupancy of the lattice. tunnelling from one leg to the other is suppressed as long as ∣Δ − U∣ > 0. When Δ ~ U, tunnelling is possible, and an increased number of doublons in the system is measured.