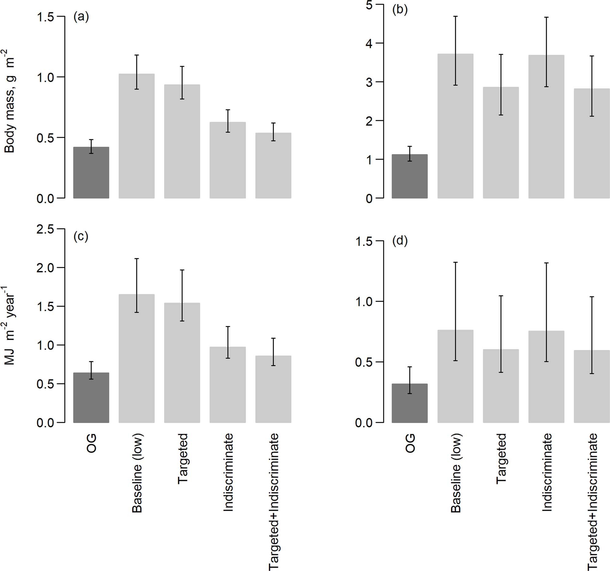
Extended Data Fig. 4: Simulations of the effects of hunting on the total biomass and energy intake of birds and mammals.
From: Logged tropical forests have amplified and diverse ecosystem energetics

Body mass of birds (a) and mammals (b) and energetic food intake of birds (c) and mammals (d) in old growth forest (OG, dark grey, no hunting) and in logged forest (light grey) under four different hunting scenarios: observed low hunting pressure (baseline) and simulated 50% reduction in population density of targeted hunted species, indiscriminately hunted species and both targeted and indiscriminately hunted species. Targeted hunted species include commercially valuable birds, and gun-hunted mammals (bearded pig, ungulates, banteng and mammals with medicinal value). Indiscriminately hunted species include birds and mammals likely to be trapped with nets and snares. For the list of species in each category see Supplementary Data 1. Note that this is not an exhaustive analysis of the hunting pressure in the study area but an illustrative estimate of the potential impact of hunting on trophic energetics. Targeted hunted bird species potentially include 13% of bird species, which account for 17% of bird body mass and 14% of bird energy consumption under the observed low hunting pressure. Targeted hunted mammal species potentially include 10% of mammal species, which account for 46% of body mass, 42% of mammal energy consumption under the observed low hunting pressure. Indiscriminately hunted bird species potentially include 72% of bird species, which account for 78% of bird body mass and 82% of bird energy consumption under the observed low hunting pressure. Indiscriminately hunted mammal species potentially include 22% of mammal species, which account for 2% of mammal body mass and 2% of mammal energy consumption. With both hunting pressures applied simultaneously, hunted bird species potentially include 86% of species, 95% of bird body mass and 96% of bird energy consumption under the observed low hunting pressure, and hunted mammal species potentially include 32% of mammal species, 48% of mammal body mass and 44% of mammal energy consumption under the observed low hunting pressure. Data provided in Supplementary Data 6.