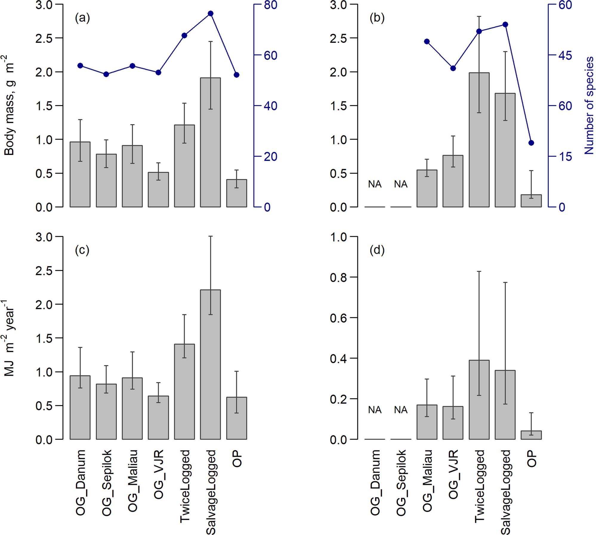
Extended Data Fig. 5: Variation of bird and mammal biomass and energy intake across individual old-growth forest sites and logging intensities.
From: Logged tropical forests have amplified and diverse ecosystem energetics

Body mass and species richness of birds (a) and mammals (b) and energetic food intake of birds (c) and mammals (d) across old growth forests (OG), logged forests and oil palm plantations (OP). OG forest data were analysed separately by four OG sites for birds and two sites for mammals (see Fig 1 for map), and the logged forest data were split into twice logged and heavily logged areas. For mammals, only species studied using camera traps and harp traps were included (63%, 63% and 77% of mammal species, and 53%, 45% and 63% of total energetic food intake in OG, logged forest and OP, respectively). Error bars are 95% confidence intervals derived from 10,000 Monte Carlo simulation estimates incorporating uncertainty in body mass, population density, the daily energy expenditure equation, assimilation efficiency of the different food types and composition of the diet of each species. Data provided in Supplementary Data 7.