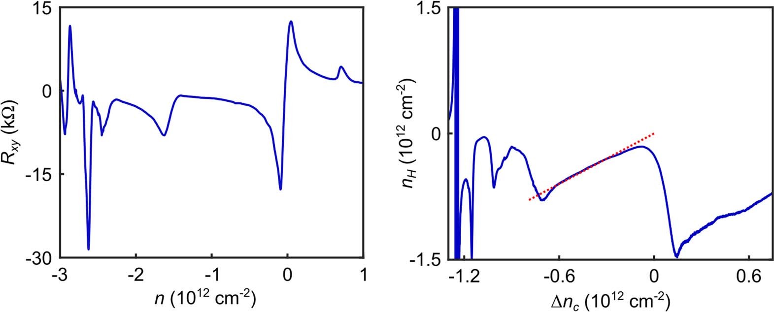
Extended Data Fig. 2: Hall resistance and inferred charge densities.
From: Evidence for Dirac flat band superconductivity enabled by quantum geometry

Left: Symmetrized Rxy versus density. Right: Measured Hall density compared to inferred density from capacitance; the red line has a unit slope to show the agreement between the two.