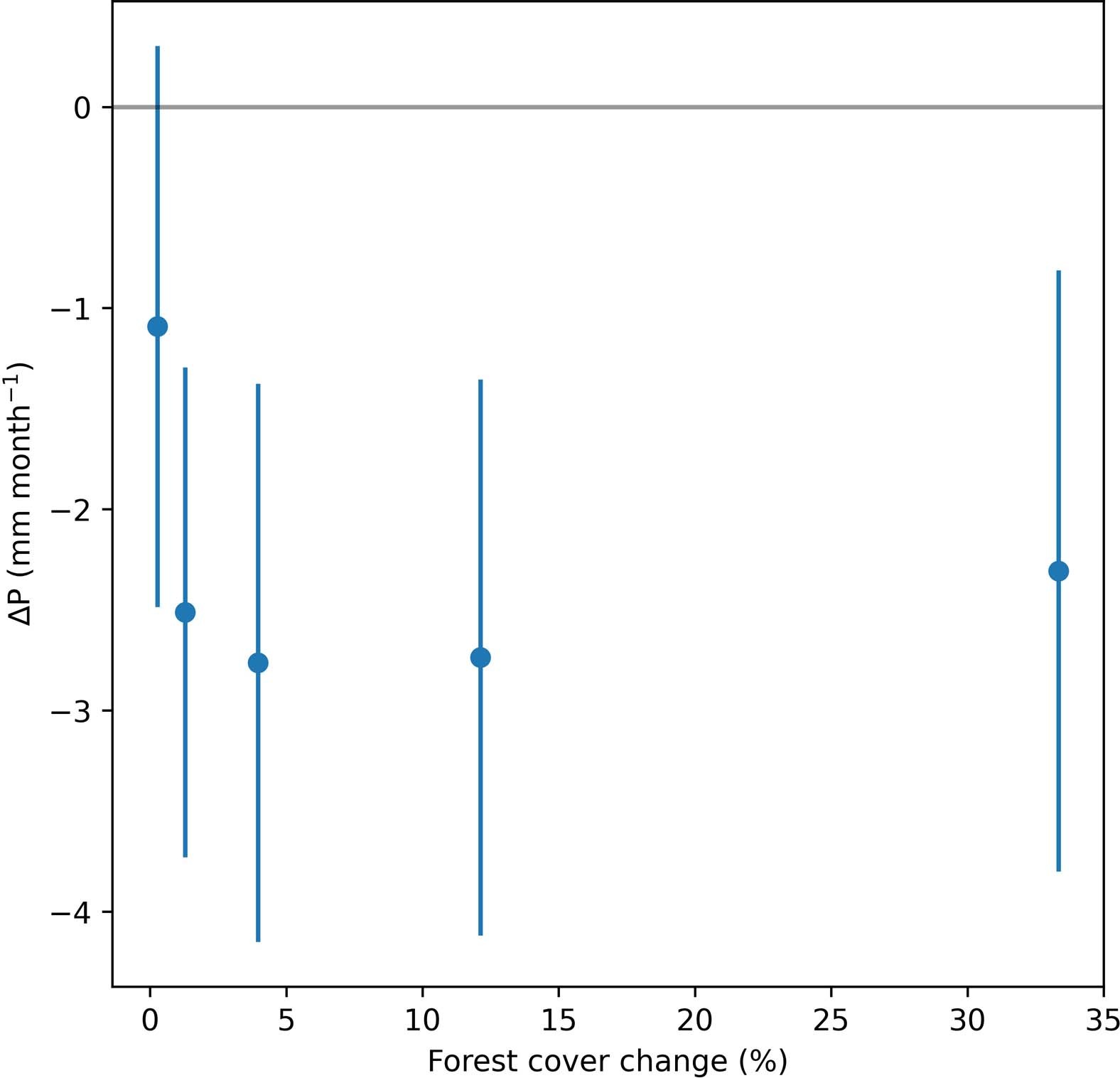
Extended Data Fig. 1: Annual precipitation change as a function of forest loss.
From: Tropical deforestation causes large reductions in observed precipitation

Results are shown at 2° spatial resolution for all satellite precipitation (P) datasets calculated as the change in P over time for deforested data pixels minus change over time for control data pixels. Data is binned according to forest cover change (%) with an equal number of pixels in each bin. Points show the median and error bars show ± 1 standard error from the mean. Details of each data product are provided in Extended Data Table 1.