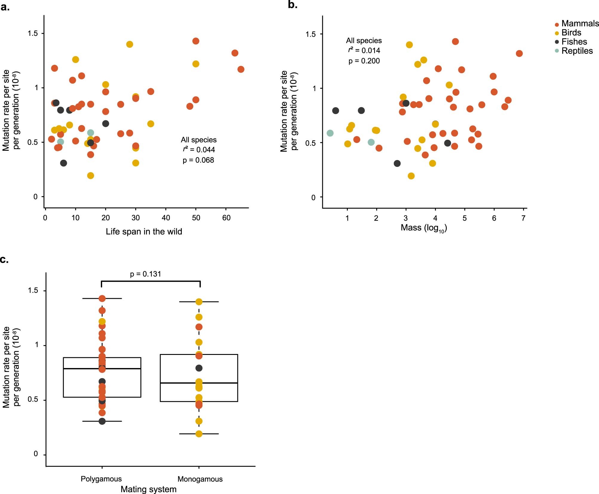
Extended Data Fig. 7: Three life-history traits are not significantly associated with the per-generation mutation rate.
From: Evolution of the germline mutation rate across vertebrates

a. lifespan in the wild, b. body mass and c. the mating system (polygamy versus monogamy). The total number of species with modeled per-generation rate was 55 for the phylogenetic regression (PGLS). The boxplots represent the median, the interquartile range, and the maximum and minimum excluding outliers.