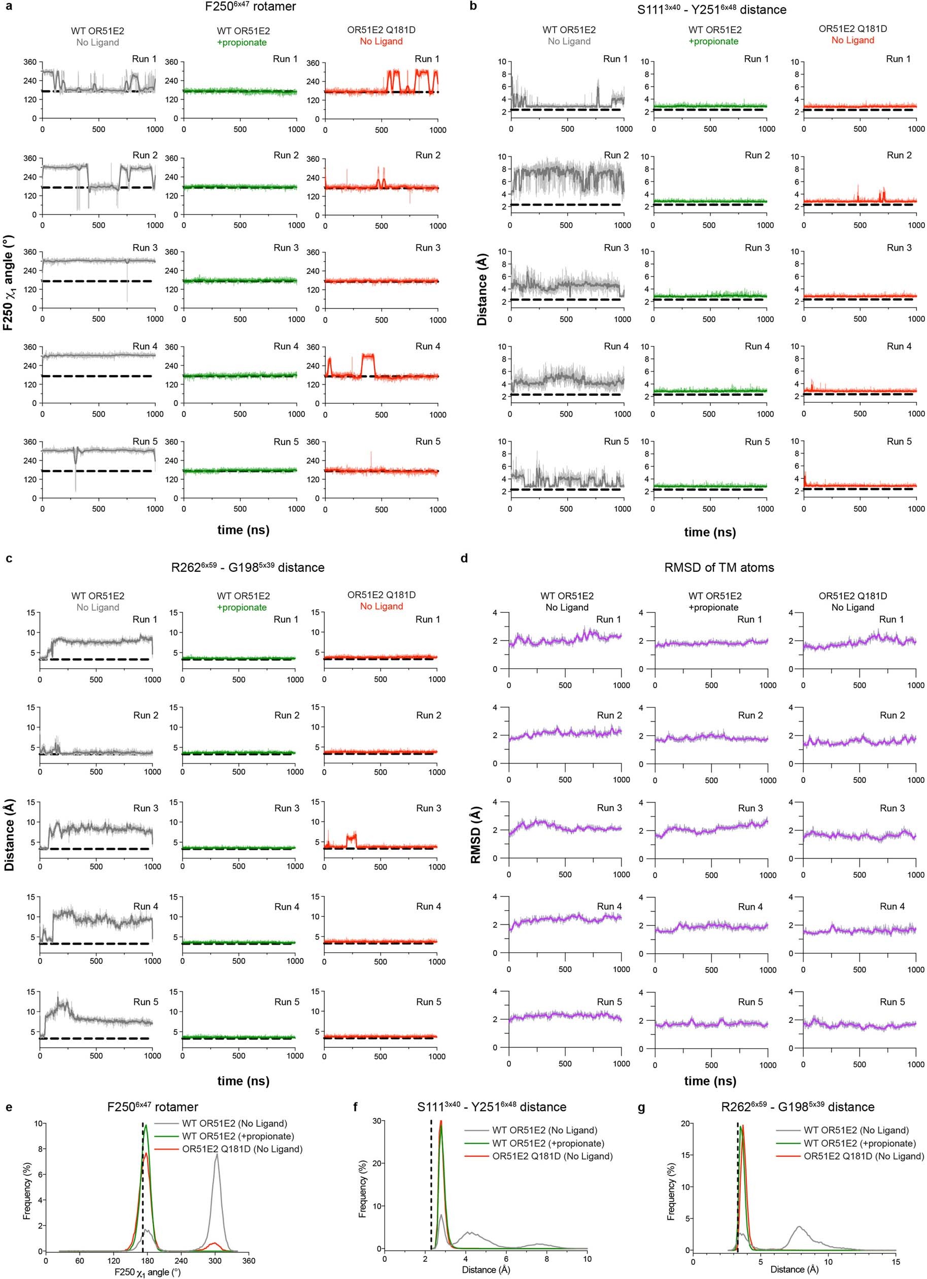
Extended Data Fig. 8: OR51E2 molecular dynamics simulation trajectories.
From: Structural basis of odorant recognition by a human odorant receptor

a—c) Simulation trajectories for WT and Q18145×53D OR51E2 are shown in a–c. Five independent runs at different velocities are shown for each condition (top to bottom). a) F2506×47 χ1 angle over replicate simulations. b) Minimum distance between oxygen atoms of the hydroxyl groups in the side chains of S111 and Y2516×48 over replicate simulations. c) Minimum distance between R2626×59 sidechain atoms and G1985×39 mainchain atoms (excluding the hydrogens) for replicate simulations. d) Root-mean-square deviation (RMSD) values for TM backbone atoms in the transmembrane helices (see Methods) calculated with reference to the equilibrated structure of the no ligand and propionate bound OR51E2 simulations, as well as for simulations of Q18145×53D OR51E2 from 5 independent MD simulation replicates (top to bottom). Thick traces represent smoothed values with an averaging window of 8 nanoseconds; thin traces represent unsmoothed values. e–f) Aggregate frequency distributions are shown for F2506×47 χ1 angle (e), minimum distance between heavy atoms of the hydroxyl groups of S1113×40 and Y2516×48 (f), and minimum distance between R2626×59 sidechain heavy atoms and G1985×39 main chain heavy atoms (excluding hydrogens) (g) using all five simulation replicates for each condition.