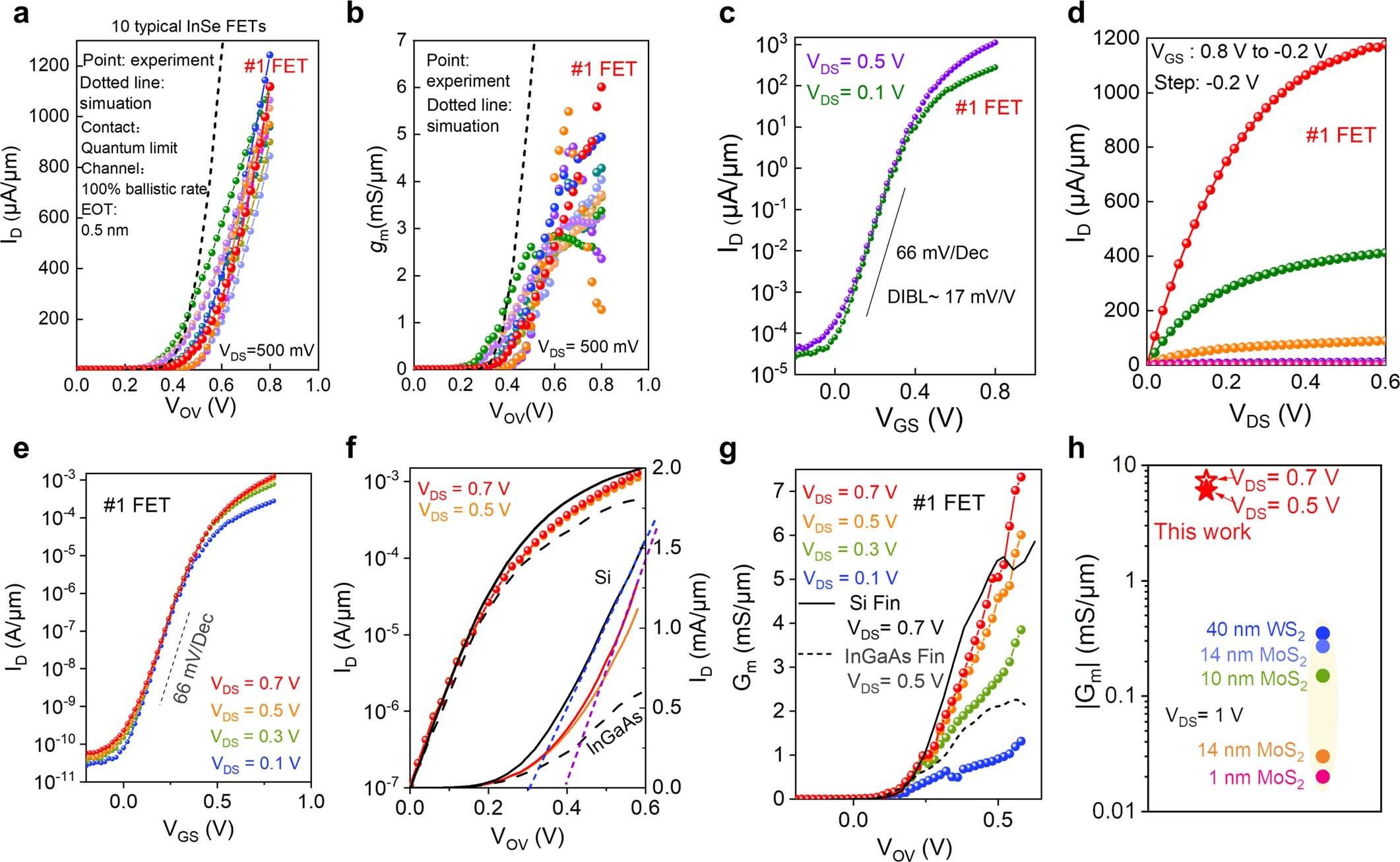
Extended Data Fig. 5: Transconductances of ballistic InSe FETs.

a, Transfer characteristics for ten typical ballistic InSe FETs at VDS = 0.5 V. The dashed line is the theoretically calculated transfer curve39. b, Corresponding transconductance of ten typical ballistic InSe FETs at VDS = 0.5 V. The best transconductance is 6 mS μm−1. Six FETs have transconductances exceeding 4 mS μm−1. The dashed line is the theoretically calculated transconductance39. c,d, Transfer curve and output of a typical ballistic InSe FET (with a transconductance of 6 mS μm−1). e, Transfer characteristics of a typical ballistic 2D InSe FET with 20-nm channel length at VDS = 0.1, 0.3, 0.5 and 0.7 V. f, Transfer characteristics comparison of ballistic 2D InSe FET at VDS = 0.5 and 0.7 V (coloured dots), 10-nm-node silicon FinFET (Intel, solid black line) and 20-nm-LG InGaAs FinFET normalized by state-of-the-art Fin Pitch = 34 nm (IBM, dashed black line). Note that all currents are normalized with the same rule. g, Transconductances comparison of typical ballistic 2D InSe FETs, a 10-nm-node silicon FinFET (Intel, solid black line) and an InGaAs FinFET (IBM, dashed black line). h, Transconductances comparison of ballistic 2D InSe FET at VDS = 0.5 and 0.7 V and other 2D FETs with sub-50-nm LG at VDD = 1 V. It shows that the transconductance of our InSe FETs at VDS = 0.7 V reaches 7 mS µm−1, which is larger than that of silicon FETs at the same bias voltage of VDS = 0.7 V but with slight degraded off-leakage current and subthreshold slope. The large transconductances of our 2D-InSe FETs benefit from several features of our FETs, including the ballistic channel with hardly any scatterings, higher thermal velocity, better source and drain contacts with negligible Schottky barriers and 2.6-nm-thick HfO2 double-gate structure.