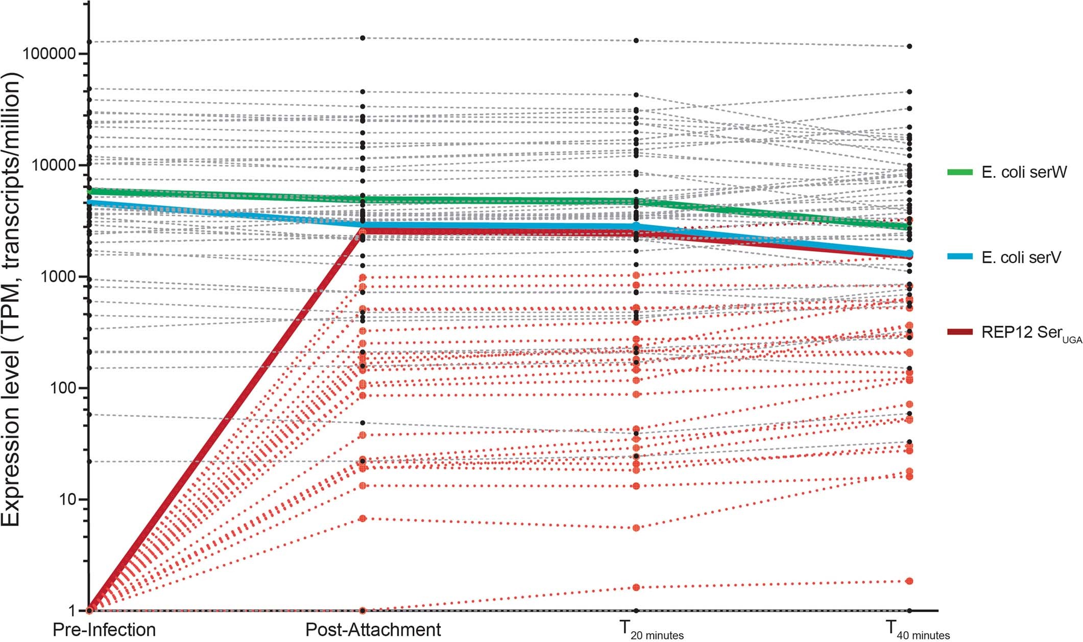
Extended Data Fig. 2: Viruses overcome genetic-code-based resistance by rapidly complementing the cellular tRNA pool with virus-encoded tRNAs.
From: A swapped genetic code prevents viral infections and gene transfer

The time-course kinetics of host and viral tRNA expression in Syn61∆3 cells following REP12 phage infection was quantified using tRNAseq (Methods). The endogenous serV and serW tRNAs of the host Syn61∆3 are highlighted in green and blue, respectively, while the tRNA-SerUGA of the REP12 virus is highlighted in red. REP12 viral tRNAs are shown in light red; endogenous tRNAs of Syn61∆3 are shown in gray. Data represent mean TPM (transcript/million). Source data is available within this paper.