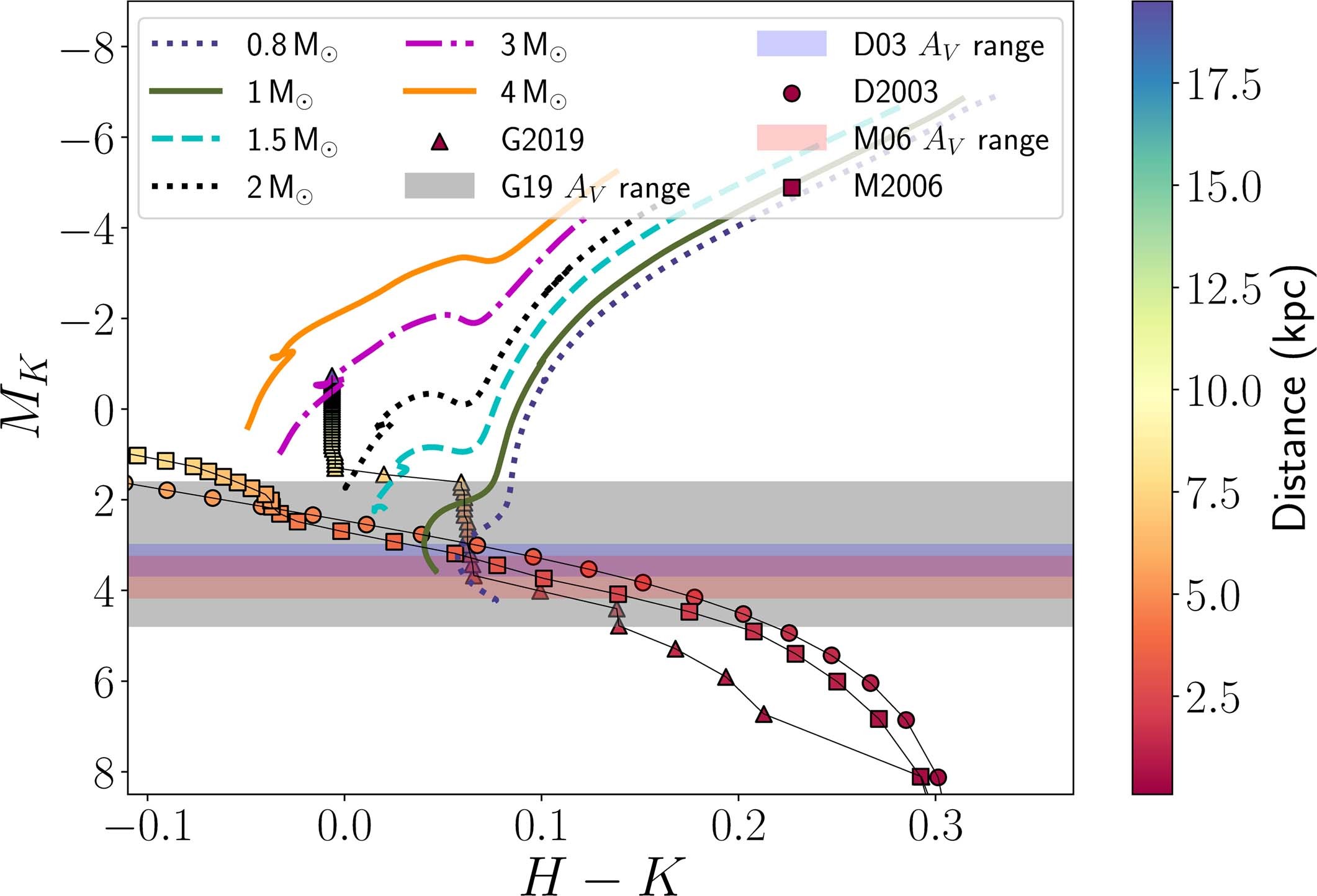
Extended Data Fig. 8: The progenitor of ZTF SLRN-2020 in the color magnitude diagram.

For different distances along the Galactic disk, we use available three dimensional extinction maps to de-redden the progenitor photometry fluxes. The results are shown as circles for the D0365 map, squares for the M0666 map and as triangles for the G1967 map. We also show the range of absolute magnitudes allowed by the 90% AV confidence region (from the SED modeling) as blue, red and gray shaded regions respectively (see legend). We also plot stellar evolutionary tracks from the MIST database for stars of initial masses ranging from 0.8−3.0 M⊙. The horizontal bar at the bottom shows the estimated 1σ uncertainty in the H − K color.