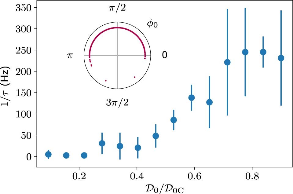
Extended Data Fig. 2: Measured damping of the oscillatory behavior predicted by Eq. (14), which is accounted for by an additional e−t/τ factor in the equation.
From: Density-wave ordering in a unitary Fermi gas with photon-mediated interactions

The signal becomes strongly damped as the critical value for the long-range interaction strength is approached. The data shown is part of the set displayed in Fig. 3 of the main text, here taken at unitarity and for Δc < 0. In inset, we display the measured phase offset ϕ0 which features a uniform distribution. Error bars represent a standard deviation.