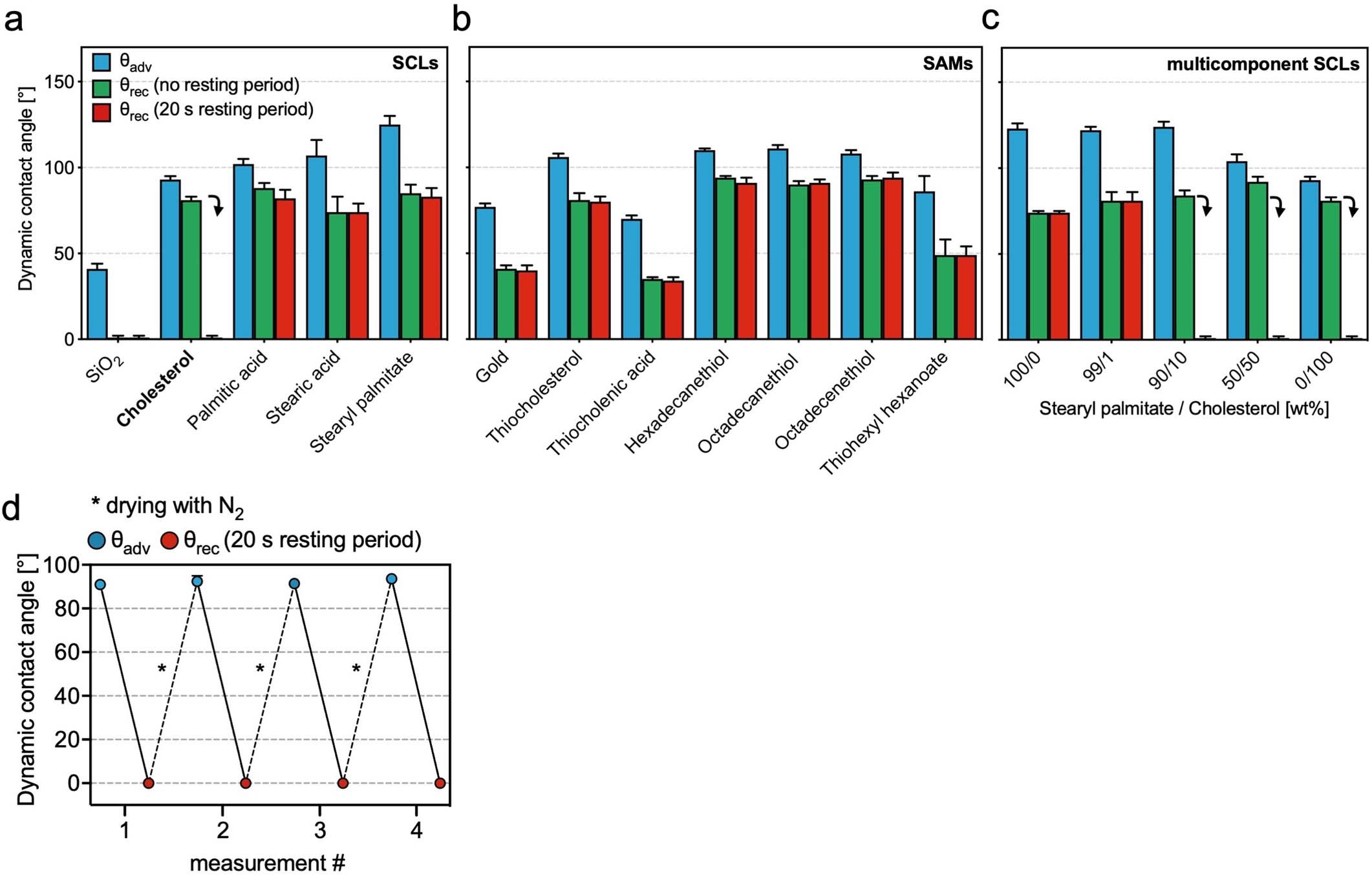
Extended Data Fig. 4: Dynamic water contact angle measurements.
From: Entropic repulsion of cholesterol-containing layers counteracts bioadhesion

(a–c) Dynamic contact angle measurements on layers of Collembola cuticular lipids ((a) SCLs, (b) SAMs, and (c) multicomponent SCLs). For each sample type, the advancing (θadv) and receding (θrec) contact angle are displayed. For some samples the strong pinning of the three phase contact line after 20 s resting period (i.e. θrec is close to 0°) is additionally indicated by an arrow. Although palmitic and stearic acid are also amphiphilic, no resting-time-dependent decrease in the receding contact angle was observed for SCLs of either of these compounds. It can be assumed that the linear molecular structure of the fatty acids (in contrast to the bulky steroid structure of cholesterol) causes tighter packing of the molecules in the SCL, limiting the mobility of the molecules. In all graphs, the mean + standard deviation are shown. (d) Successive contact angle measurements at the same position on a cholesterol SCL, where the measuring site is dried with nitrogen between two measurements. Consistent results are obtained (i.e. a hydrophobic advancing contact angle and no receding angle after a 20 s resting period). Data were obtained from at least three independent experiments.