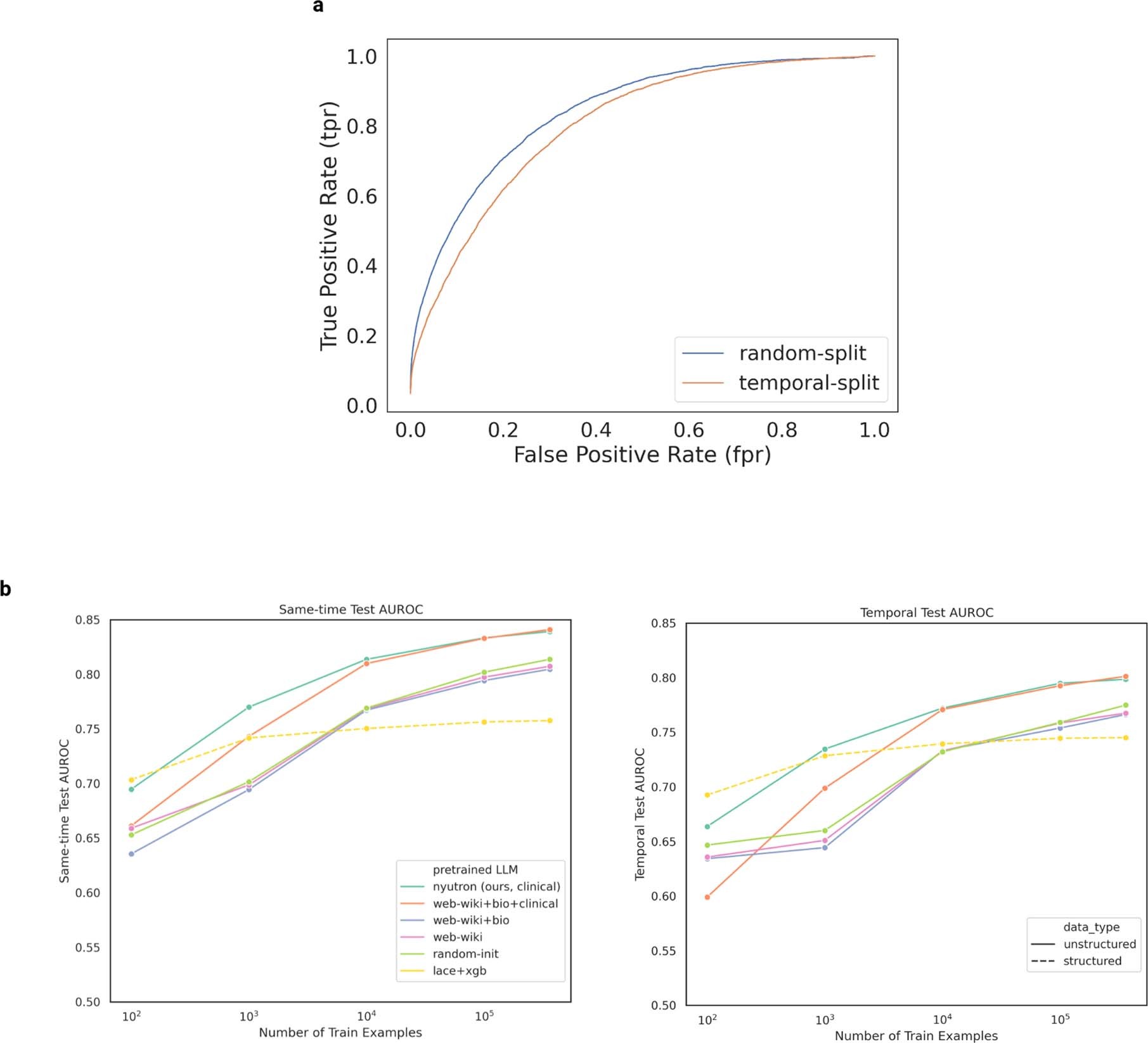
Extended Data Fig. 1: Difference between random test and temporal test.
From: Health system-scale language models are all-purpose prediction engines

a, AUC curve for the random test shows better performance than the temporal test. The random-test AUC is 84.13%, compared to the temporal-test AUC of 80.2%. The difference highlights the importance of creating a test set to reflect the problem setup. In the case of readmission prediction, the deployment set always comes from the future of the training set. Thus we use the temporal test AUC for model selection. b, Comparison of random-test AUC and temporal-test AUC as the number of training examples increases shows that temporal-testing is important to estimate deployment performance. Here we show that sampling a temporally split out dataset seems “harder” than a randomly sampled test dataset because all tested LLMs and lace+xgb perform worse on the temporal test (notes from the future) than the random test (notes from the same time as the training data). The colored lines on the left (random test AUCs) are generally higher than the colored lines on the right (temporal test AUCs). We conclude that this is an important distinction that temporally sampled held-out test sets give a more realistic estimate of model performance. Interestingly, the language models seem to be more sensitive to this phenomenon than the lace+xgb model.