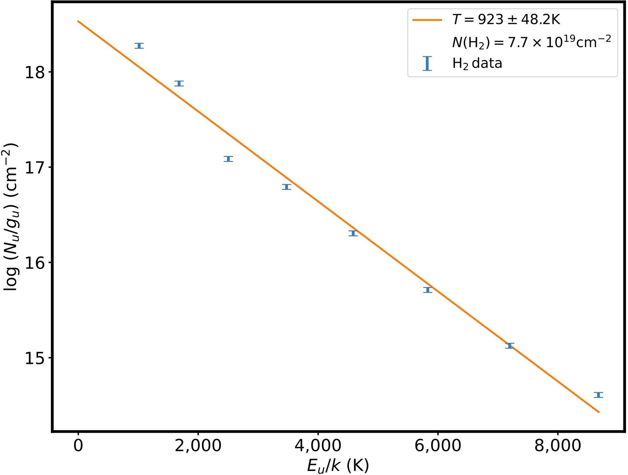
Extended Data Fig. 3: H2 excitation diagram derived from the line intensities in Extended Data Table 2 using the H2 toolbox (see Methods for details).
From: Formation of the methyl cation by photochemistry in a protoplanetary disk

Error bars result from the propagation of the absolute calibration error of MIRI, which we take from ref. 58.