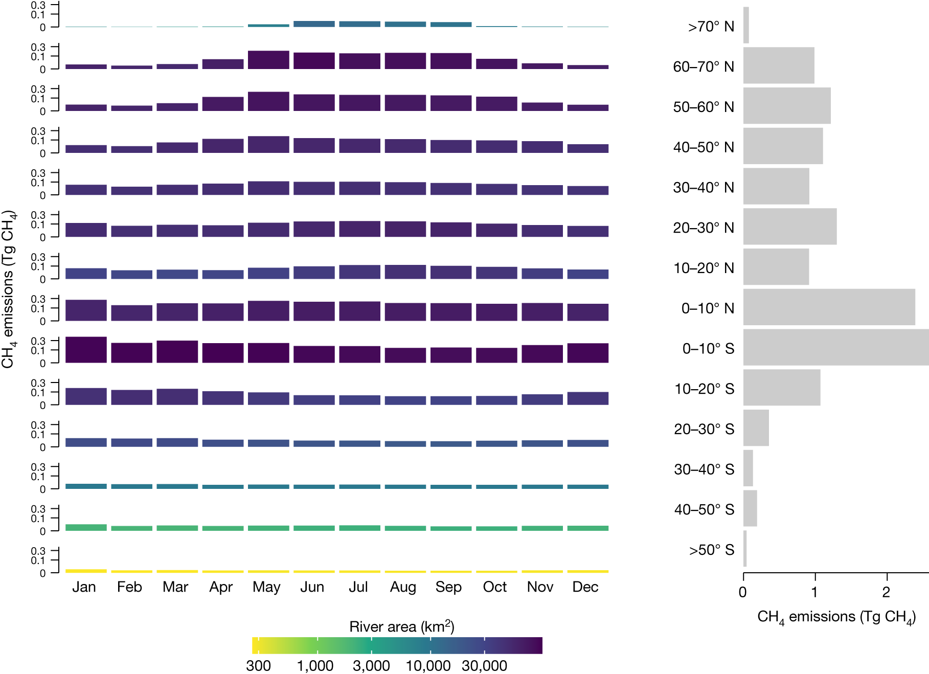
Fig. 3: Seasonal patterns of CH4 emissions.

Left: total monthly CH4 emissions for each latitudinal band (10° bins), with the colour representing total river area. Right: total yearly emissions for each latitudinal band. In the left panel, the y axis is square-root transformed, and the colour scale is log transformed.