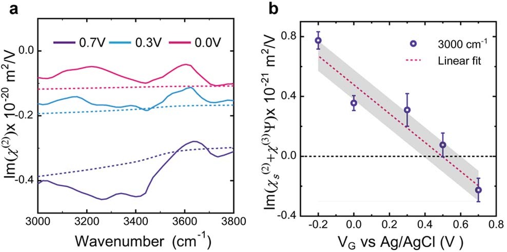
Extended Data Fig. 6: \({{\boldsymbol{\chi }}}_{{\bf{g}}}^{{\boldsymbol{(}}{\bf{2}}{\boldsymbol{)}}}\) of graphene and χ(3)Ψ in the diffuse layer.
From: Structure evolution at the gate-tunable suspended graphene–water interface

a, Im(χ(2)) spectra at different VG. Dashed curves are the calculated Im(\({\chi }_{{\rm{g}}}^{(2)}\)) spectra of graphene with Vpzc = 0.5 V. b, Im[\({\chi }_{{\rm{s}}}^{(2)}\)(ωIR = 3,000 cm−1) + χ(3)(ωIR = 3,000 cm−1)Ψ] versus VG. The shaded region denotes uncertainty. Error bars are calculated from 30 averages.