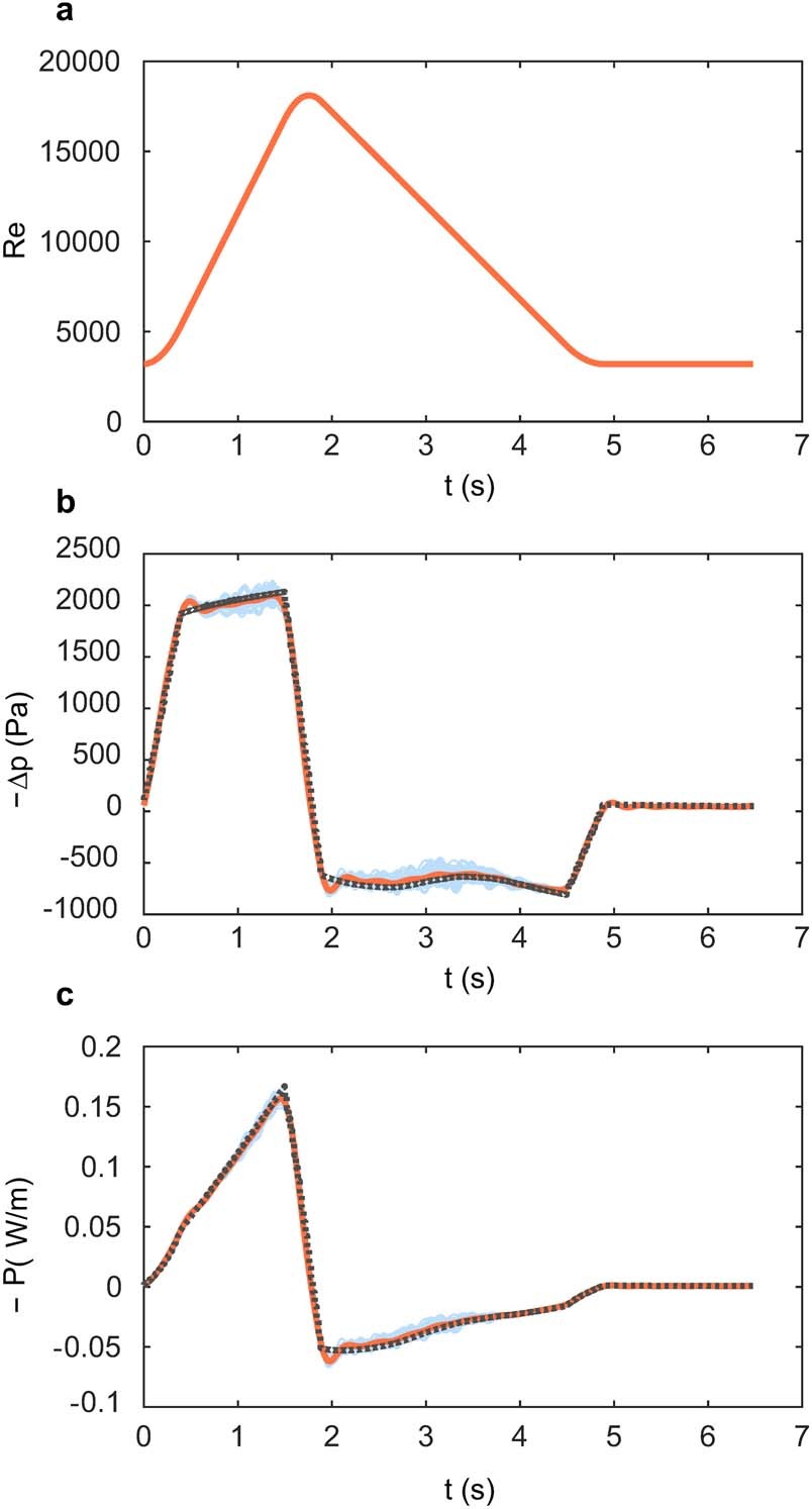
Extended Data Fig. 2: Waveform, pressure and power signal.
From: Turbulence suppression by cardiac-cycle-inspired driving of pipe flow

Signals from the optimal cycle (Fig. 2c) measured in experiments. (a) Waveform based on the linear piston speed and (b) pressure drop Δp measured over the test section. The signal from all the 100 cycles measured is shown in blue, while the phase average is represented in orange. The number of samples per cycles is N = 325. For comparison, we report also the pressure drop computed with the DNS for the same cycle (gray dotted line). In this case the signal is obtained by phase-averaging the available 8 cycles. (c) The power input for the same waveform. The values for the 100 cycles in experiments are shown in blue, the ensemble average in red and the power input in DNS is given by the grey doted line.