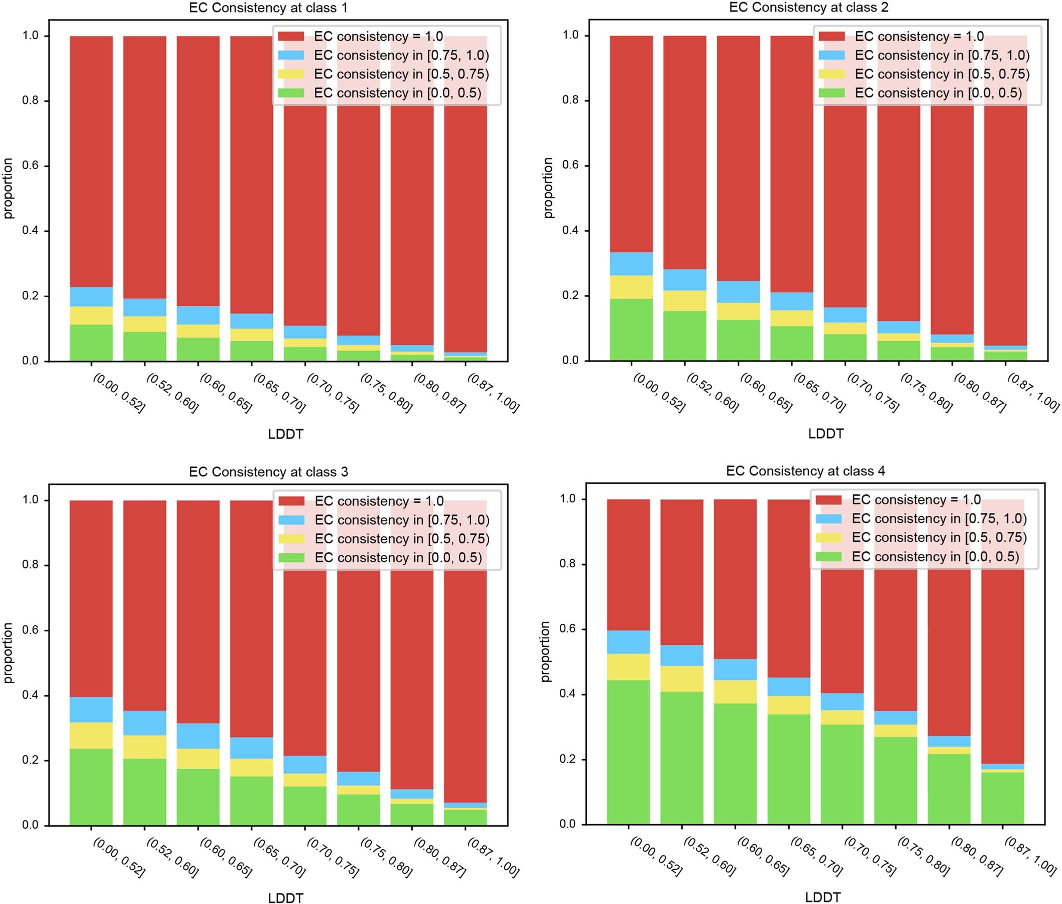
Extended Data Fig. 3: Relationship of mean pairwise EC number consistency to LDDT of cluster.
From: Clustering predicted structures at the scale of the known protein universe

These graphs are plotted with 113,287 clusters with at least two Enzyme Commission number annotated sequences. Each panel describes EC consistency compared at 1 to 4 classes. Each bin in a panel represents EC annotated non-singleton clusters equally.