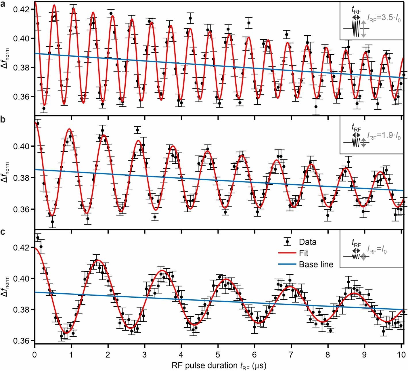
Extended Data Fig. 7: Power dependence of Rabi oscillations.
From: Single-molecule electron spin resonance by means of atomic force microscopy

a–c, Rabi oscillations acquired on pentacene-d14 with a CO-terminated tip at different RF amplitudes demonstrating the increase of Rabi frequency with increasing RF amplitude (error bars are s.d. of eight repetitions). The Rabi frequency increases (almost) linearly with amplitude, which is characteristic for Rabi oscillations. The slight deviation from a linear increase is attributed to nonlinearities of the RF circuitry.