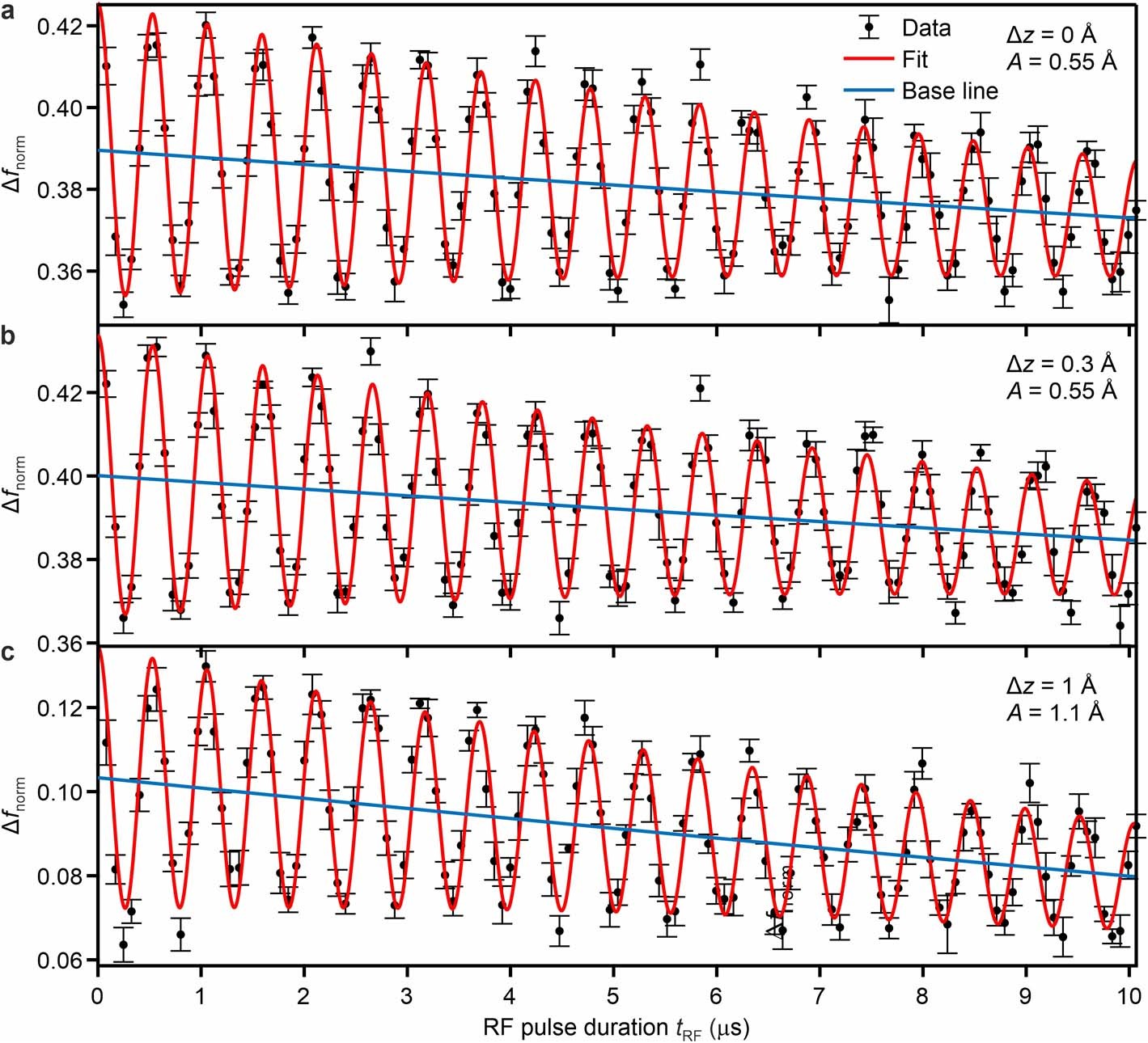
Extended Data Fig. 8: Role of tip height and cantilever amplitude on Rabi oscillations.
From: Single-molecule electron spin resonance by means of atomic force microscopy

a–c, Rabi oscillations acquired on pentacene-d14 with a CO-terminated tip at relative different tip heights Δz (referring to the zero crossing from the set point of the cantilever: Δf = −1.42 Hz at V = 0 V, A = 1.65 Å; positive Δz values are further away from the surface) and cantilever oscillation amplitudes A, as indicated in the panels (error bars are s.d. of eight repetitions). The Rabi oscillations show no appreciable differences.