Extended Data Fig. 2: Raw data and signal extraction towards an ESR spectrum.
From: Single-molecule electron spin resonance by means of atomic force microscopy

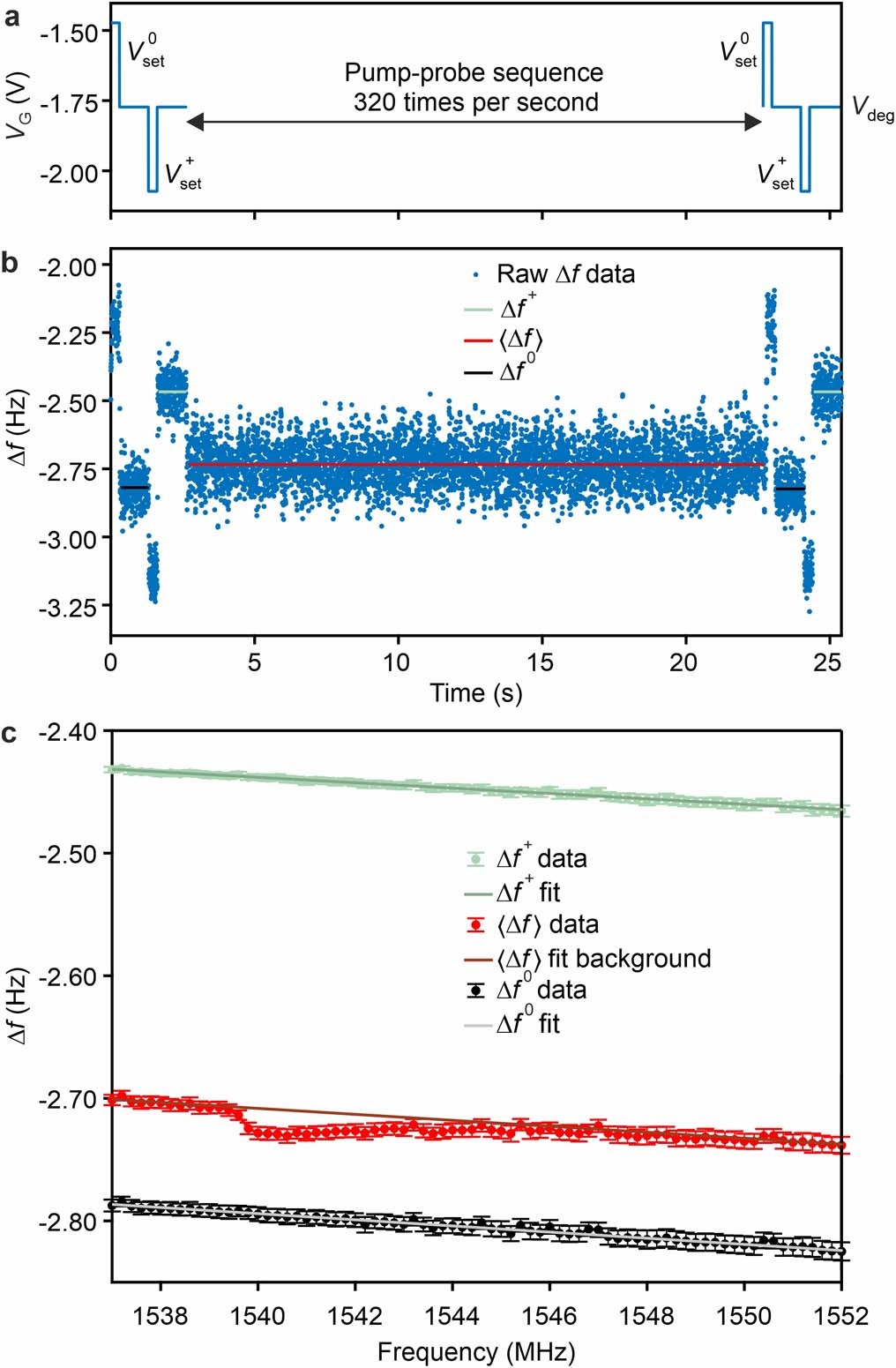
a, Voltage-pulse sequence for the acquisition of one data point. At the beginning and end, two voltage pulses were given to neutralize (\({V}_{{\rm{set}}}^{0}={V}_{{\rm{\deg }}}+0.3\,{\rm{V}}\)) and charge (\({V}_{{\rm{set}}}^{+}={V}_{{\rm{\deg }}}-0.3\,{\rm{V}}\)) the molecule, in between which the voltage was set to the centre of the charging hysteresis (Vdeg); here a typical value for pentacene is shown. During the middle 20 s of the data trace, the pump–probe sequence shown in Extended Data Fig. 1a was repeated 320 times per second. b, One of the recorded Δf data traces with the pulse sequence shown in a. The frequency shifts of the neutral (Δf0, black) and charged (Δf+, green) molecule were extracted as the average over the 1-s intervals at the beginning and end of the trace. The averaged frequency shift (⟨Δf⟩, red) was extracted from the interval during which the pump–probe sequence was turned on. c, ESR spectrum of pentacene-h14 without normalizing the frequency shift. The panel shows Δf0, Δf+ and ⟨Δf⟩ as a function of the RF (error bars are s.d. of seven repetitions). Owing to slight creep and drift, all three signals show a similar overall trend line (fit curves). Around 1,540 MHz, ⟨Δf⟩ shows clear deviations from this general trend, representing the ESR signal. Normalizing the frequency shift from these three values as \({\Delta f}_{{\rm{norm}}}=\frac{\langle \Delta f\rangle -{\Delta f}^{0}}{{\Delta f}^{+}-\Delta {f}^{0}}\) largely reduces the background trend owing to creep and drift.