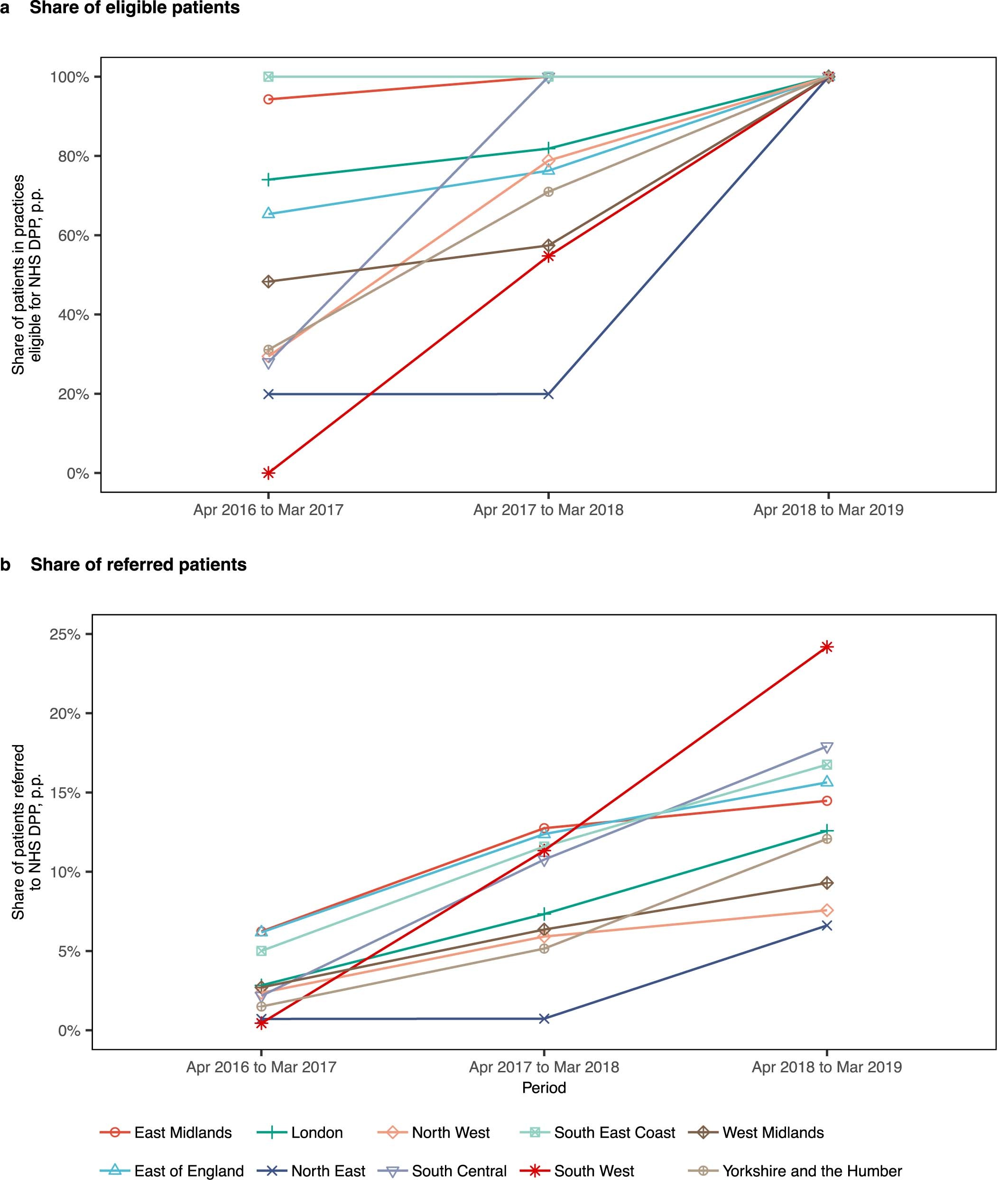
Extended Data Fig. 2: Regional and temporal variation in NHS DPP programme implementation.
From: Quasi-experimental evaluation of a nationwide diabetes prevention programme

(a) Share of patients eligible for NHS DPP derived via official practice eligibility by roll-out wave and (b) share of patients referred to NHS DPP in each of the nine Strategic Health Authorities.