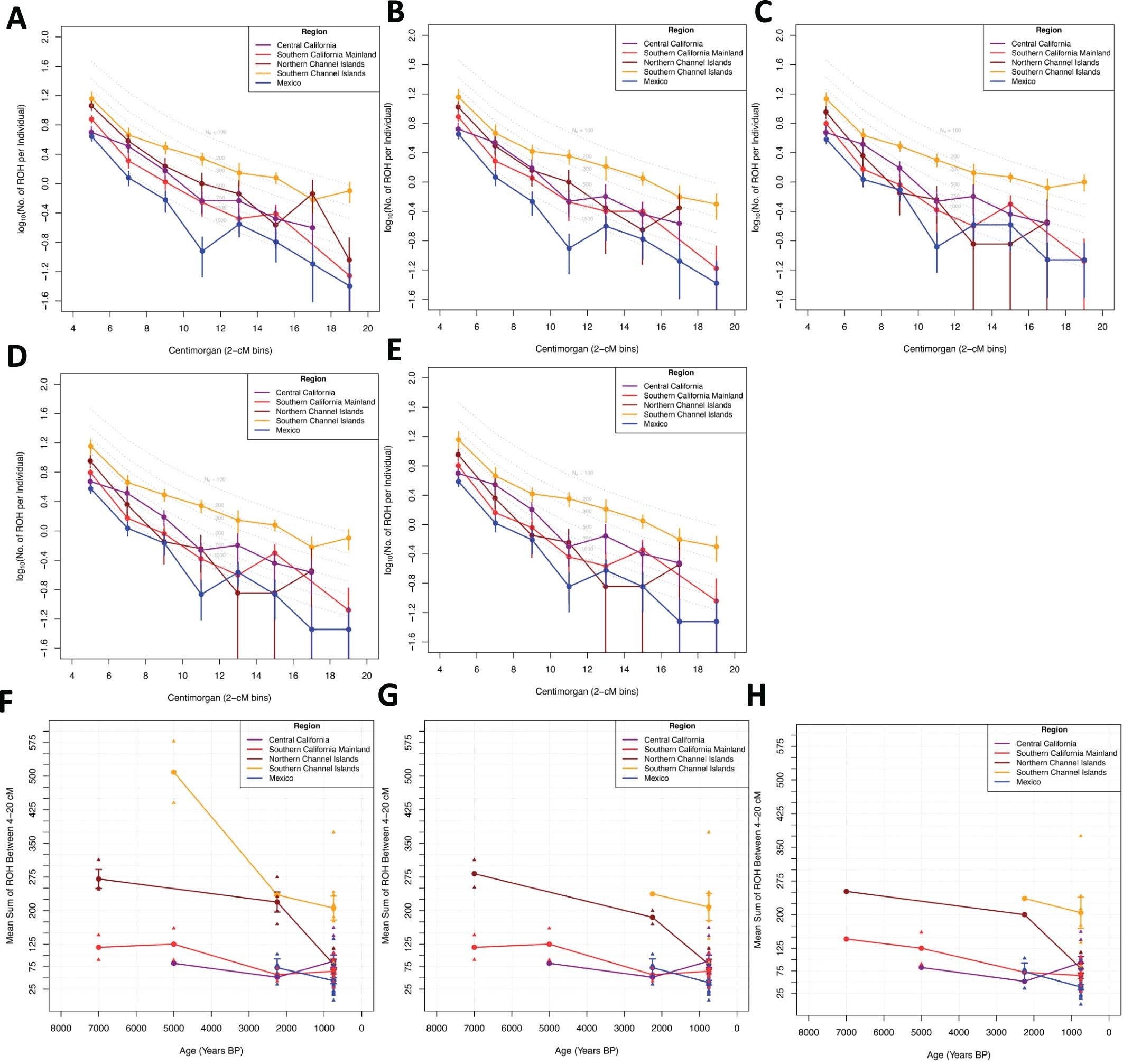
Extended Data Fig. 6: ROH in California and Mexico.
From: Genetic continuity and change among the Indigenous peoples of California

A) Average rate of ROH segments in different length bins after filtering out individuals with a sum of ROH segments of ≥20 cM of 100 cM or more and B) after filtering out individuals using a lower stringency threshold of 50 cM or more. Points with no ROH fragments present in those bins were filtered out. C) Average rate of ROH segments in different length bins after filtering out individuals over 1600 BP and D) after filtering out individuals with summed 20 cM over 100 cM or E) over 50 cM. F) ROH over time where each data point represents the average sum of ROH between 4–20 cM of individuals in a bin of its corresponding time-period (8000-6000 BP, 6000-4000 BP, 4000-1500 BP, and <1500 BP); the number of individuals for each of these time bins is (0,1,1,10) for Central California, (2,2,2,12) for Southern California Mainland, (3,0,4,7) for Northern Channel Islands, (0,2,3,9) for Southern Channel Islands), and (0,0,3,23) for Mexico. G) ROH over time after filtering out individuals with a sum of ROH segments of ≥20 cM of 100 cM or more; the number of individuals for each of these time bins is (0,1,1,10) for Central California, (2,2,2,12) for Southern California Mainland, (2,0,2,7) for Northern Channel Islands, (0,0,2,8) for Southern Channel Islands), and (0,0,3,22) for Mexico. H) ROH over time after filtering out individuals with a sum of ROH segments of ≥20 cM of 50 cM or more; the number of individuals for each of these time bins is (0,1,1,9) for Central California, (1,2,1,11) for Southern California Mainland, (1,0,1,7) for Northern Channel Islands, (0,0,1,7) for Southern Channel Islands), and (0,0,3,21) for Mexico. For all figures, data are presented as mean values ± 1 standard error (no standard errors are presented for points with fewer than 3 individuals).