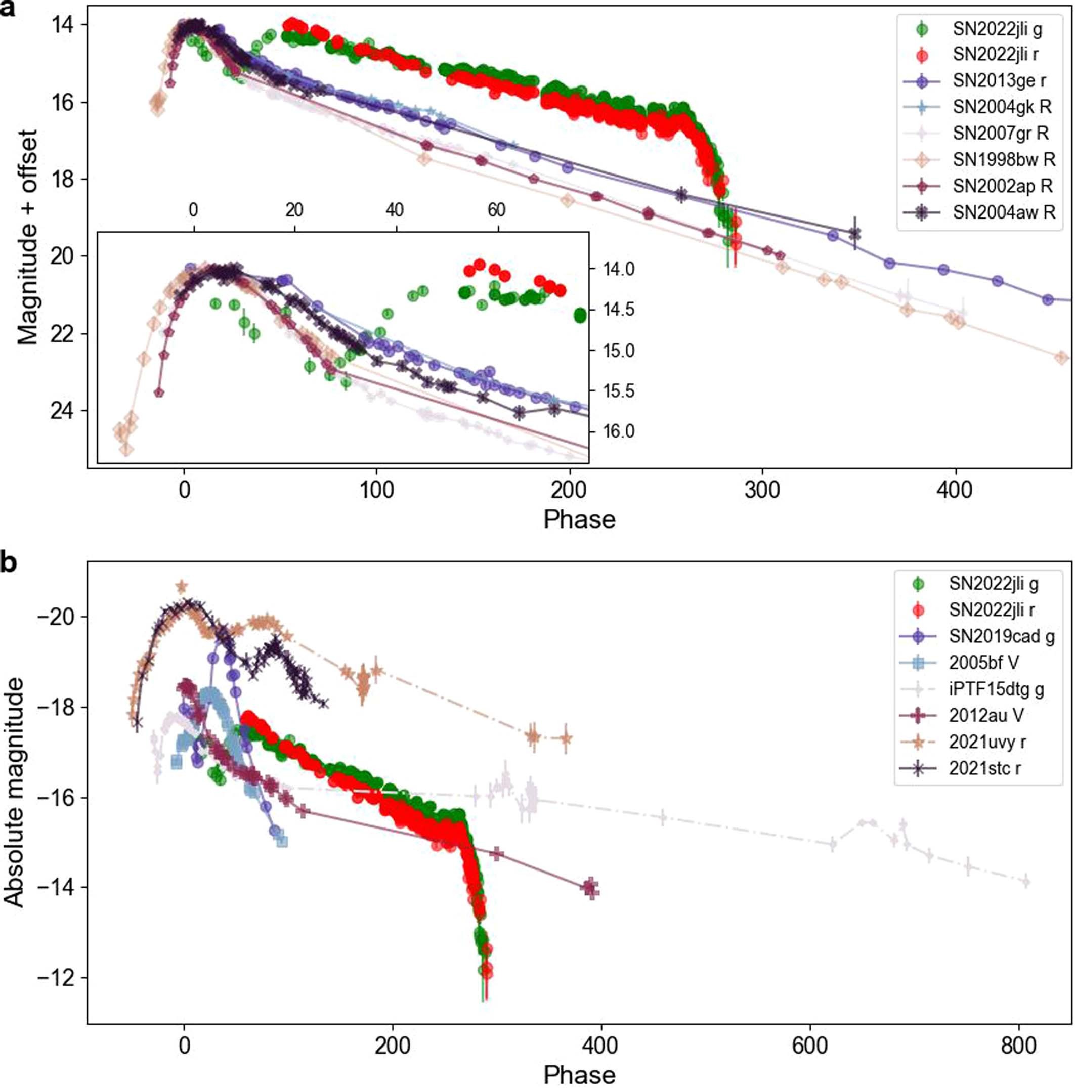
Extended Data Fig. 9: Light curve of SN 2022jli compared with those of other supernovae.
From: A 12.4-day periodicity in a close binary system after a supernova

a, Comparison with Type Ic supernovae dominantly powered by radioactive decay showing clear exponential decay tails. All the comparison supernovae have been shifted to have a peak at 14th magnitude. The inset panel shows a zoom-in view around the peak light. b, Comparison with the long-lasting SN 2012au (SN Ib), and other supernovae with double-peaked light curves.