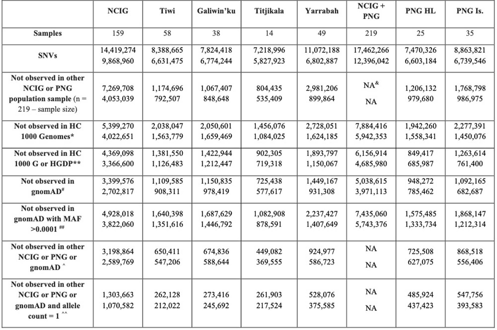
Extended Data Table 1 Per population sample count of autosomal SNVs at VQSR = 99.8 before (top) and after (bottom) ancestry masking
From: Indigenous Australian genomes show deep structure and rich novel variation

From: Indigenous Australian genomes show deep structure and rich novel variation
