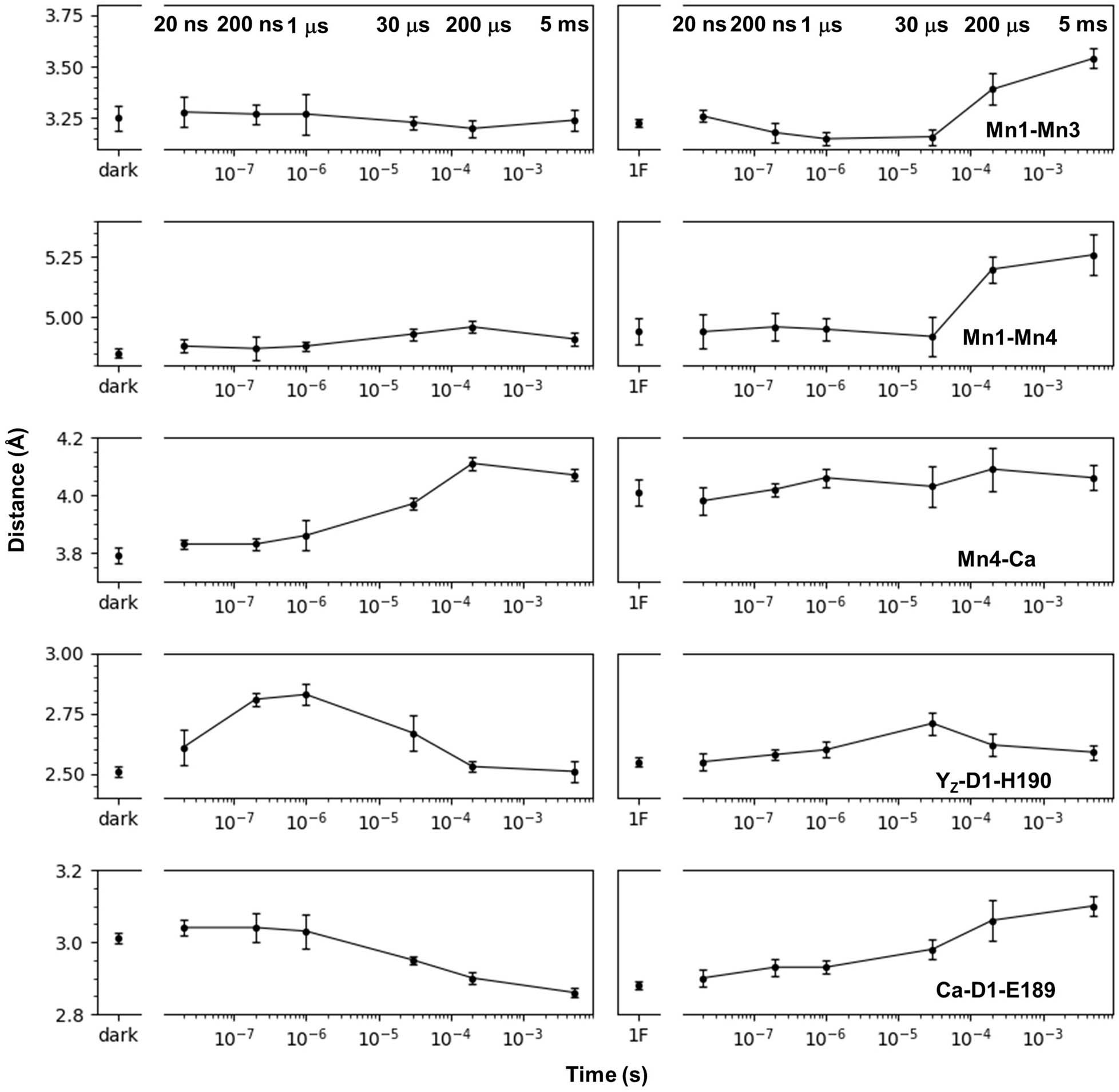
Extended Data Fig. 3: Variance in inter-atomic distances during S1–S2–S3 transitions.
From: Oxygen-evolving photosystem II structures during S1–S2–S3 transitions

Inter-atomic distances are measured at all time points collected after 1F (left) and 2F (right). The mean values for the error bars are obtained with the structures derived from 100% indexed images. The error bars are estimated using a resampling approach, with the standard deviations determined using ten structures derived from ten sub-datasets, each comprising 75% randomly selected indexed images (see Methods for more details).