Extended Data Fig. 5: Energy ratios of the measured spin-2 modes to \({{\boldsymbol{\Delta }}}_{{\bf{m}}}^{{\bf{R}}}\) in the v = 1/3 and 2/3 states.
From: Evidence for chiral graviton modes in fractional quantum Hall liquids

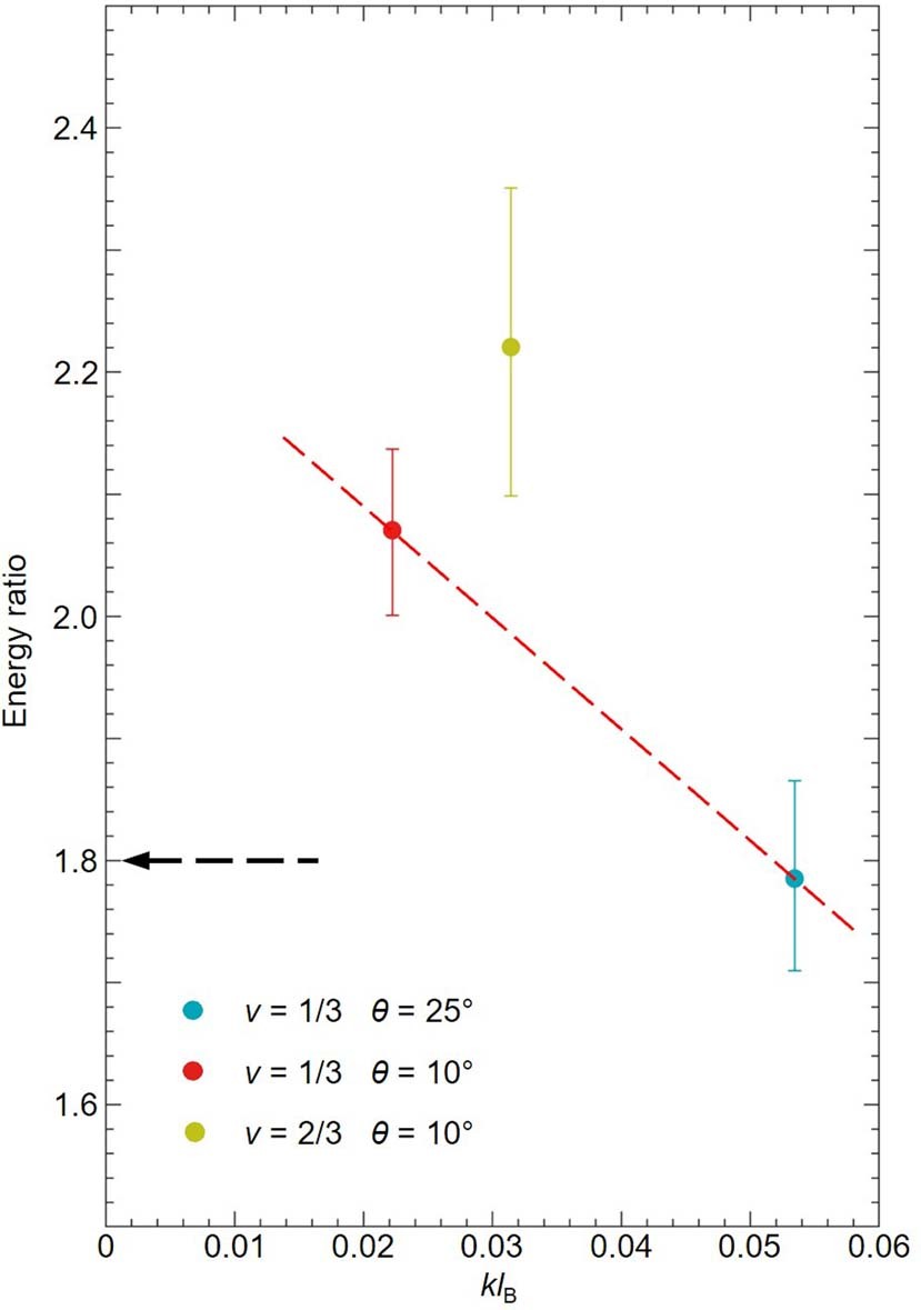
In RILS experiments, the wavevector k = (2ωL/c)sinθ transferred to the system can be adjusted by altering θ. At v = 1/3, a reduction of θ from 25° to 10° results in a decrease of klB from ≈ 0.05 to an extremely small value ≈ 0.02, effectively approaching the long-wavelength limit (q = k = 0). At v = 1/3, the energy ratio of the spin−2 mode to \({\varDelta }_{{\rm{m}}}^{{\rm{R}}}\) reaches 2.07 at klB ≈ 0.02 (Fig. 3a and Extended Data Fig. 3) and decreases by 15% as klB increases to ≈ 0.05 (Figs. 1e and 2c), as guided in the red dashed line. At v = 2/3, the energy ratio reaches 2.2 at klB ≈ 0.03 with θ = 10° (Fig. 3b and Supplementary Fig. 3). The error bars originate from the uncertainty in determining the energy positions of these two modes in RILS spectra. Notably, at extremely small wavevectors, the measured energy ratios at v = 1/3 and 2/3 are larger than the value (1.8 at zero wavevector) expected for a two-roton bound state (the black dashed arrow). The ratio for the two-roton bound state would increase with wavevectors but have to be lower than two because of its two-roton characteristic. We would like to mention that the large energy ratio at v = 2/3 indicates that \({\varDelta }_{{\rm{m}}}^{0}\) could be in the continuum of excitations. Interestingly, in CP-RILS measurements, \({\varDelta }_{{\rm{m}}}^{0}\) is well resolved in the LL geometry, which indicates that the continuum does not have a large contribution in this geometry.